Vilket av talen kan inte vara lika med noll?
Uppgiften lyder vilket av talen a,b,c,d och e ovan kan inte vara lika med noll det här är uppgift (b)
På uppgift (a) fick jag fram alla variabler men jag förstår inte riktigt hur jag ska få fram vilka tal av dessa variabler som inte kan vara lika med noll
Hej, Rosalett! Välkommen till Pluggakuten! Det saknas en del information i din uppgift. Har du någon bild som inte kommit med? :)
Ska försöka ta en bild
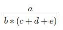
Mycket märklig fråga. Jag undrar var parentesen ska stängas. Antagligen efter d, men jag gissar.
parentesen stängs efter e
I så fall är fråga b) felställd. Du får byta ut "vilket" mot "vilka".
Det står vilket på frågan
Jag ser att det står "vilket", vilket gör frågan dåligt ställd.
En variant är att prova att sätta någon av de olika talen till 0 och se om du hittar värden på de andra så att likheten stämmer. För två av dessa tal kommer det inte att gå.
Hur ska jag sätta dom på 0 sry att jag frågar så pass mycket fast det är först gången jag ser en sådan uppgift
Vilka tal valde du för att lösa a)?
Vilket värde på vilket tal?
A=1300
B=10
C)=2
D)=3
E)=5
Bra. Titta nu om du kan hitta en lösning om a = 0. Sedan om b = 0. Sedan om c = 0.
Jag ger upp förstår inte direkt hur jag ska få fram dom till 0
a kan inte vara noll, för noll/något kan inte bli 13
b kan inte vara noll, för då blir nämnaren noll, och division med noll går inte
c, d, e kan vara noll, men inte alla tre samtidigt, för då blir nämnaren noll, och division med noll går inte

