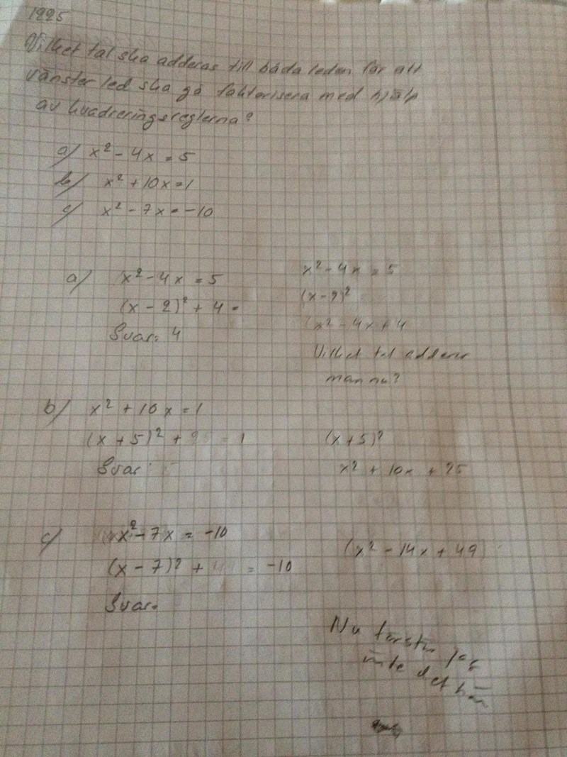
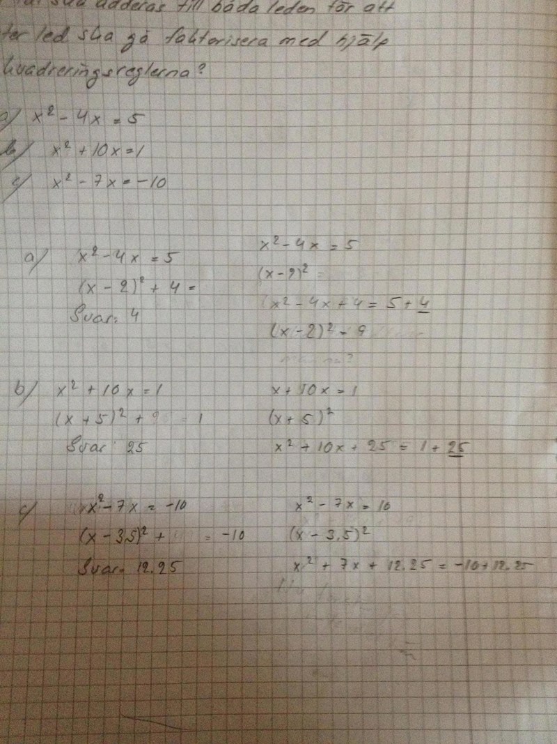
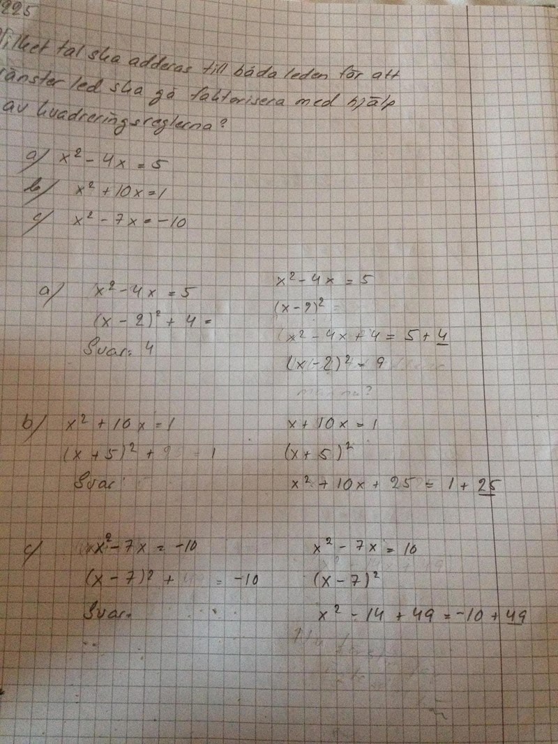
Vilket tal ska adderas?

Alla andra uppgifter har du löst genom att sätta in x och halva koefficienten framför x-termen i kvadraten och sedan justera. Gör likadant på den fjärde uppgiften (ja det blir lite krångligare siffror nu).
Detta tal handlar just om kvadratkomplettering.
Kvadratkomplettera VL. Vilket tal måste du då addera till VL (och alltså även HL) för att det ska gå att kvadratkomplettera?
a) är rätt. Du har använt halva koefficienten 4
Du är på god väg med b). Du har använt halva koefficienten 10
På c) har du tänkt fel. Du har använt dubbla koefficienten 7.
Halvera 7, det blir 3,5
Päivi skrev :Halvera 7, det blir 3,5
Ja.Vet du hur du ska fortsätta då?
Det ska tydligen kvadreras kom jag på nyss. Så gör man inte med B uppgiften.
Därför förstår jag inte detta än.
I första uppgiften har du . Om vänsterledet hade varit istället, skulle du ha kunnat skriva det som . Om vi adderar 4 på båda sidor kan vi göra det:
alltså skall man lägga till 4.
Kan du göra likadant på de andra uppgifterna?
Det här har jag inte haft varken matte A eller i B kursen.
Det kom fram först nu i matte 3c.
Päivi skrev :Det ska tydligen kvadreras kom jag på nyss. Så gör man inte med B uppgiften.
Jo. Du ska göra på samma sätt med alla tre uppgifterna, nämligen kvadratkomplettera.
Om du inte minns hur man gör så kan du friska upp minnet genom att läsa här.
Den enda skillnaden mellan uppgifterna är att i a och c så subtraheras x-termen från x^2-termen och i b-uppgiften så adderas x-termen till x^2-termen.
Nu förstår jag. Jag skulle halvera 7 och det blir 3,5 . Se bild.
Alla fönstren ska bytas idag. Det pågår sådant just nu, när jag sysslar med matte.
Tydligen har jag glömt detta totalt.
Lite konstigt om du inte har haft kvadratkomplettering i MaB - man brukar använda sig av kvadratkomplettering för att komma fram till pq-formeln. (Sedan brukar i och för sig de flesta glömma bort kvadratkomplettering - jag hade också gjort det en gång i tiden.)
Du har inte skrivit något svar på b- och c-uppgifterna.
Om du har glömt bort detta med kvadratkomplettering så rekommenderar jag att du följer länken till det avsnittet i Matteboken.se och läser (eller i dina böcker om du hellre vill det).
Det pågår fönster byte samtidigt, när jag sysslar med matte.
Det är riktigt rörig hos mig nu. Det ska renoveras överallt i huset. Jag ägnar tid åt matten.
4, 25 och 12,25 är rätt.
Hej Yngve!
Det går inte få bort mig från matten. Så här envis är jag av mig. Är inte dugg till hjälp åt dem.
Jag förstår det här nu. Jag har antagligen glömt bort det här.
Hej Yngve.
Jag brukar använda pq formeln. Därför hade jag glömt bort kvadrat kompletteringen. Man tycker att man klarar sig med den andra istället. När jag tittade på B boken, visst har haft den där. Man kommer ihåg kvadrerings regler och pq formeln. Det var nog så att jag hade glömt bort det. Nu vet jag hur detta går till.
Nu håller jag på fixar hemma, så jag kan fortsätta läsa matte. Alla fönstren är nu bytta. Nu är det riktigt rörig. Håller på tvättar gardiner samtidigt.
Har Du Yngve läst något från mig?
Det är bra att kunna både kvadratkomplettering och pq-formeln.
Jag läser nästan allt du skriver.
Det bra Yngve!
Nu vet du, hur jag det har idag. Inget roligt. Jag måste få så pass mycket i ordning att jag kan sätta gång läsa på nytt. Jag måste sätta upp gardinerna på plats. De här kom tidigt på morgonen och ringde på dörren och ville komma sätta nya fönstren åt mig.
Nu är allt bytta hos mig. Det är rörigt hos mig.

