"Vilket typ av samband beskriver grafen?"
Hej.
Har svårt att förstå frågan och det är bättre att jag frågar än att jag tittar i facit. Är svaret "antal partiklar över tid"? Eller vad menas med samband?

mvh
T.ex. linjärt, eller kvadratiskt, men det är inget av dem.
Laguna skrev:T.ex. linjärt, eller kvadratiskt, men det är inget av dem.
Tack! Fick googla det för djupare förklaring och lärde mig något nytt. Antar att det är exponentiellt?

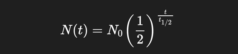
Den fysikaliska grunden är att det sönderfaller vid varje tid en viss andel k av det antal y(t) som finns, d v s förändringen dy/dt är
som har lösningen y(t)= Ae-kt
I den "svarta" formeln har beteckningar valts för att passa begreppet "halveringstid" t1/2. Det ser lite lurigt ut, med basen 1/2 för exponentialfunktionen som är <1 och därmed "tar bort" minustecknet i exponenten.
maratmatorkin skrev:
Tack! Fick googla det för djupare förklaring och lärde mig något nytt. Antar att det är exponentiellt?
Ja, det stämmer. Det kallas ett exponentiellt samband.
Tack hansa och Yngve. Då gjorde jag rätt i att fråga:)
Det är alltid rätt att fråga 👍