Vill ha rättning

Ser bra ut.
Tack för detta!
Nej det är inte korrekt. Det gäller inte att om du höjer upp 10 i det så får du
Utan du får
Tror du att du skulle kunna förklara varför dessa två inte är lika?
Rätta svar men underliga beräkningar.
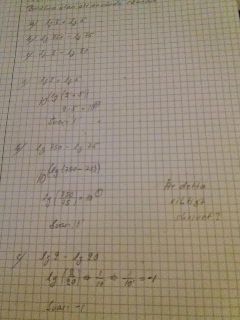
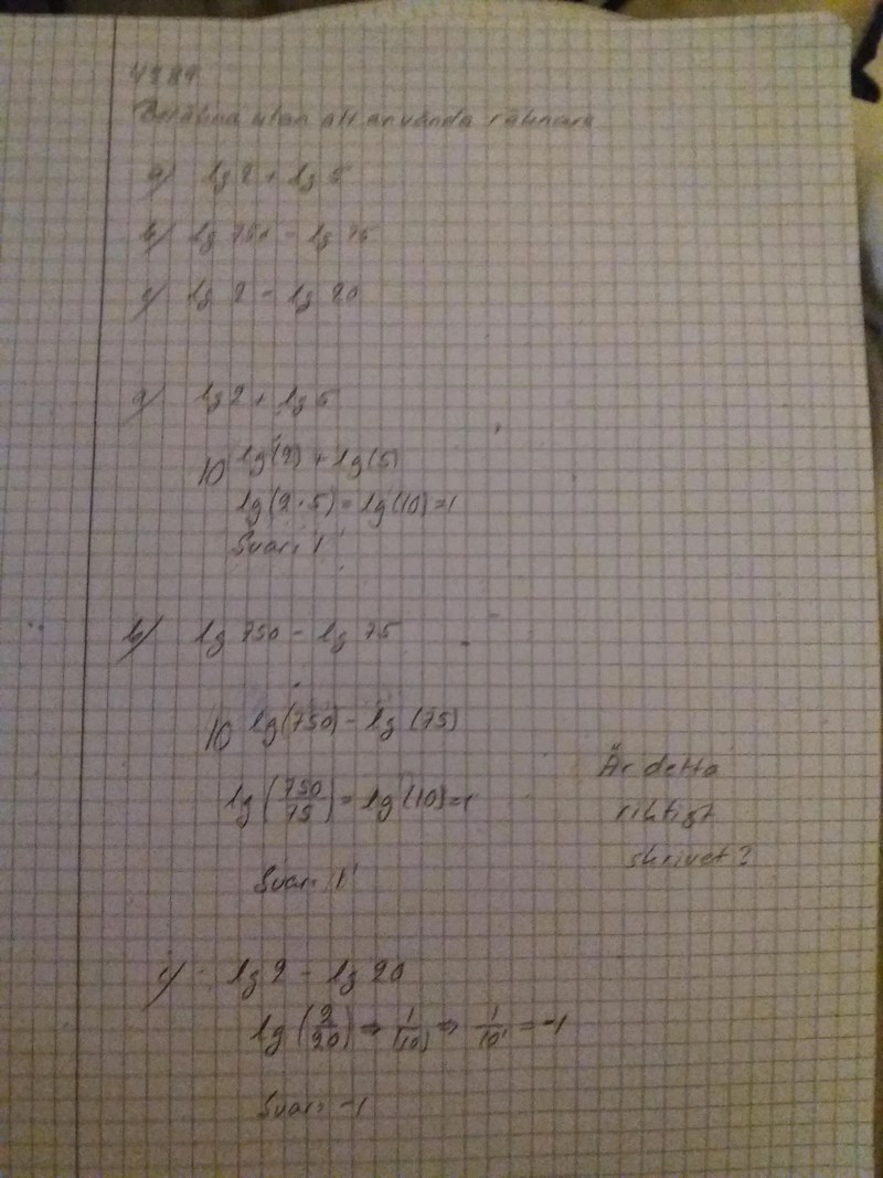
lg(2) + lg(5) = lg(2*5) = lg(10) = 1
Jag tror, men vet inte
10^lg(2+5) = 10 ^(7)
10^lg(2)+ lg(5)= 2*5
Jag svarar så här.
10 ^ lg(2+5) = 10 ^ (lg (7)) = 7
10 ^ (lg(2)+ lg(5)) = 10^1 = 10
Det ser bättre ut men det är fortfarande lite små konstigheter

Vid de rödmarkerade stegen så undrar jag om du skulle kunna förklara varför du gör det steget?
Det grönmarkerade stämmer inte.
- Använd inte tecknet på det där sättet, jag tror du menar likhetstecken.
- Det gäller inte att
- (Det gäller inte heller att .)
Päivi skrev :Jag tror, men vet inte
10^lg(2+5) = 10 ^(7)
10^lg(2)+ lg(5)= 2*5
Jag svarar så här.
Ja det stämmer.
Nu pratar jag om röd markerade. Jag tror att det ska vara parentes även runt om lg och inre parentes vid siffrorna. Det ska vara 10 upphöjt, vad jag har förstått. Annars vet inte jag någon orsak mera.
Grön markerade menar jag inte likhets tecken. Jag menar att det leder ditåt.
Förkortar man 2/20 har vi 1/10 kvar.
Jag vet inte, hur det ska skrivas.
Päivi skrev :Nu pratar jag om röd markerade. Jag tror att det ska vara parentes även runt om lg och inre parentes vid siffrorna. Det ska vara 10 upphöjt, vad jag har förstått. Annars vet inte jag någon orsak mera.
Det jag menar är, leder verkligen det steget dig närmare lösningen? Eller skulle du lika gärna kunna skippa det steget helt?
Grön markerade menar jag inte likhets tecken. Jag menar att det leder ditåt.
Förkortar man 2/20 har vi 1/10 kvar.
Jag vet inte, hur det ska skrivas.
Fast vad betyder det att det leder ditåt? Jag vet vad lika med betyder, men inte vad det leder ditåt betyder.
Om du förkortar 2/20 så har du 1/10 det stämmer. Dessa två representerar därför samma tal, därför är uttrycken lika. Så man skriver det som
Alla dessa representerar samma tal, därför sätter jag ett likhetstecken mellan dem.
Notera att det inte betyder att lg(2/20) blir lg(1/10) som blir -1, utan det betyder att de är lika.
Menar du röd markerade när det leder närmare lösningen.
Jag vet inte, vad jag ska då skriva.
Ja precis jag menar det rödmarkerade. Du kan alltså skippa det steget helt och hållet, du använder det aldrig på något sätt. Man skulle kunna skriva lösningen såhär
och den andra lösningen som
Det rödmarkerade steget ser helt felplacerat ut eftersom du aldrig utnyttjar det på något sätt.
Tack för detta Stokastisk!
Det ska jag försöka komma ihåg. Jag är inte så förtjust själv ta tio upphöjt till. Bättre är om man kan skippa det helt. Det är lättare komma ihåg också, vad man ska göra.
