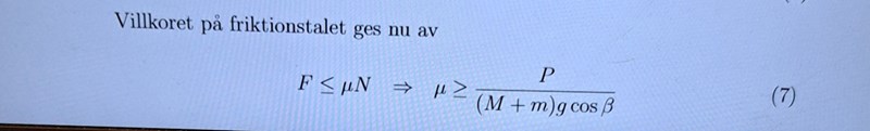
Villkoret på friktionstalet mellan vagnen och klossen för att klossen inte ska glida relativt vagnen



Halloj!
Jag har det lite trassligt med denna uppgift eftersom jag vill gärna komma fram till samma svar som facit , men får tyvärr inte bort a och vet inte hur man får bort den.
Sätt upp ekvationer för hela systemet (vagn + kloss) och separata ekvationer för klossen.
Visa spoiler

PATENTERAMERA skrev:Sätt upp ekvationer för hela systemet (vagn + kloss) och separata ekvationer för klossen.
Visa spoiler
Menar du att jag ska införa separata ekvationer för vagn+kloss och sen kloss? Juste vagnen har ingen friktion pga friktionsfritt underlag så det var nog fel att rita ut där, istället är det klossen som får en friktion. Ska man frilägga klossen för att kunna skapa ekvationer till den? Jag tänkte enbart på ett enda system dvs vagn+kloss.
Ja, frilägg klossen separat. Tänk på att den har samma acceleration som vagnen så länge som den inte börjar glida relativt vagnen.
PATENTERAMERA skrev:Ja, frilägg klossen separat. Tänk på att den har samma acceleration som vagnen så länge som den inte börjar glida relativt vagnen.
Såhär gjorde jag, men i ekv (2) och (4) så är det N3 och N4 , vilka av dem ska man använda?
