1
svar
120
visningar
Micimacko behöver inte mer hjälp
Vinkel mellan ytor

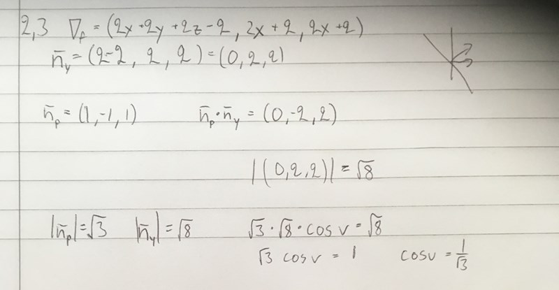
Facit säger pi/2. Var gör jag fel?
Du gör något konstigt när du tar skalärprodukten. Skalärprodukten ska bli en skalär (alltså ett vanligt tal), inte en vektor. Om du räknar skalärprodukten som summan av komponentprodukterna får du:
Om du sedan löser
får du svaret