4 svar
215 visningar
Maja9999 560
Postad: 20 okt 2024 13:44

Vinkelhastighet lutande hjul mek2

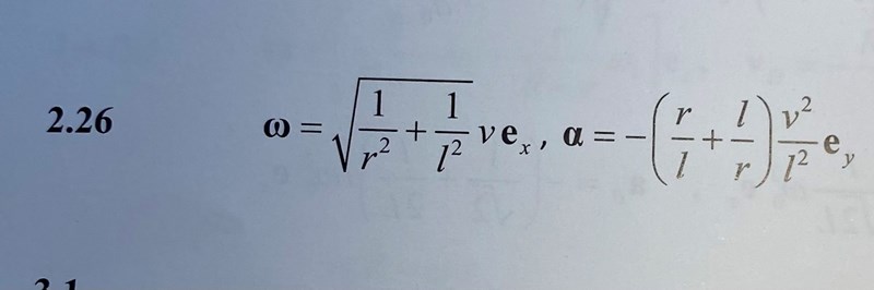
Förstår att vinkelhastigheten har bidrag från hjulets samt axelns rotation. Men hur ska man komma fram till svaret?

PATENTERAMERA 7977
Postad: 20 okt 2024 16:23 Redigerad: 20 okt 2024 16:42

Du kan införa vinkelhastigheten hos xyz-systemet som

Ω=-Ωez.

Sedan kan du införa vinkelhastigheten hos hjulet relativt xyz-systemet som

ω'=ω'cosαex+sinαez, där α är vinkeln mellan axeln och xy-planet.

Skivans vinkelhastighet relativt ett fixt system blir då

ω=Ω+ω'.

Du vet hastighet hos A och hos kontaktpunkten med underlaget. Mha detta kan du räkna ut hur Ω och ω' beror på v.

Ja, det var ju en början.


Tillägg: 20 okt 2024 17:24

Maja9999 560
Postad: 22 okt 2024 11:50 Redigerad: 22 okt 2024 11:50
PATENTERAMERA skrev:

Du kan införa vinkelhastigheten hos xyz-systemet som

Ω=-Ωez.

Sedan kan du införa vinkelhastigheten hos hjulet relativt xyz-systemet som

ω'=ω'cosαex+sinαez, där α är vinkeln mellan axeln och xy-planet.

Skivans vinkelhastighet relativt ett fixt system blir då

ω=Ω+ω'.

Du vet hastighet hos A och hos kontaktpunkten med underlaget. Mha detta kan du räkna ut hur Ω och ω' beror på v.

Ja, det var ju en början.


Tillägg: 20 okt 2024 17:24

Vinkeln är inte given i uppgiften, ska man räkna ut den genom tan a = r/L ?

PATENTERAMERA 7977
Postad: 22 okt 2024 12:01

Ja, du kan räkna ut sin, cos och tan i termer av r och l.

Maja9999 560
Postad: 22 okt 2024 12:15
PATENTERAMERA skrev:

Ja, du kan räkna ut sin, cos och tan i termer av r och l.

Aaa okej tack

Svara
Close