Svaret a = -6 är rätt
Men = -1 borde stå
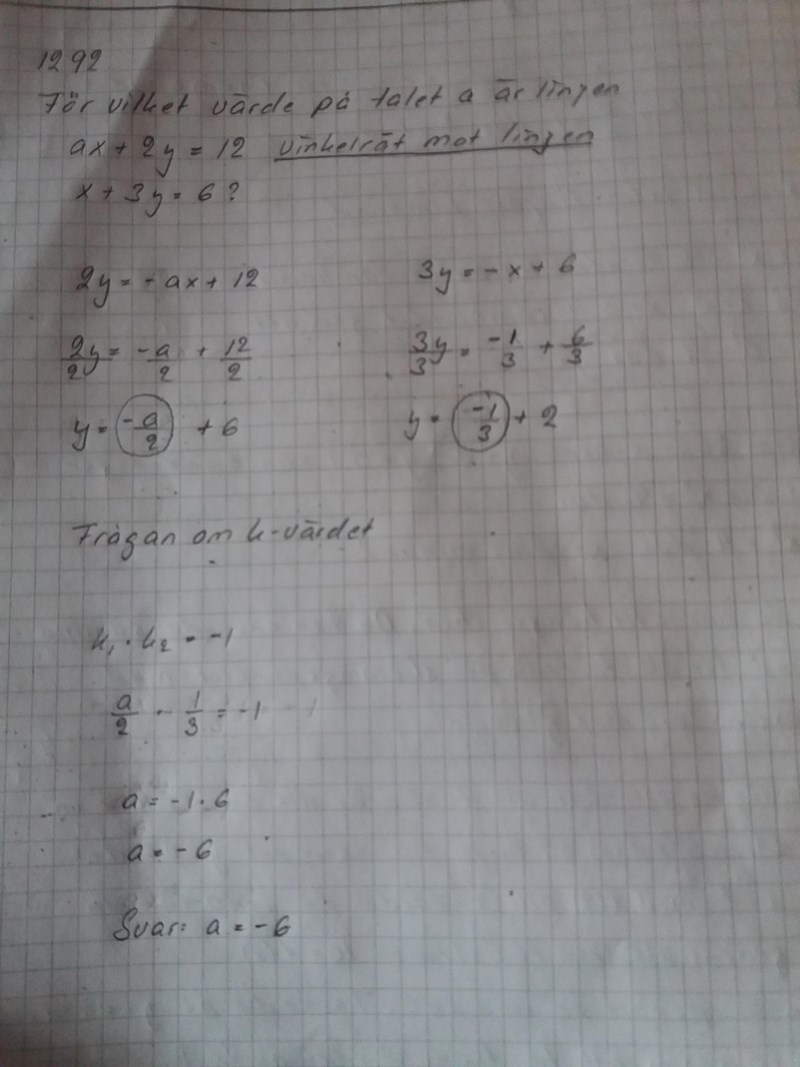
och så tappade du bort x på slutet i ekvationerna
Jag tackar! Jag var osäker om x. Jag lade den från början dit, men plockade bort den av en anledning och ställde en fråga, om allt är riktigt eller inte. Jag var osäker om x själv.
Tusen tack för svaret!
Päivi skrev :Jag tackar! Jag var osäker om x. Jag lade den från början dit, men plockade bort den av en anledning och ställde en fråga, om allt är riktigt eller inte. Jag var osäker om x själv.
Tusen tack för svaret!
Varför tog du bort x Päivi?
ax + 2y = 12 skriver du om till
2y = -ax + 12
Sedan dividerar du med 2 och då tog du bort x. Varför?
Första mina tankar brukar vara korrekta. När jag andra gången tänker, då plockar jag bort det mesta.
Jag tänkte om x var en onödig sak där. Jag hade x i början, men när jag skulle visa det, då försvann x.
Jag tänkte, jag har så lätt skriva massa onödiga saker dit och därför försvann x. Skulle du ha sett mig i verkligheten skulle du ha sett allt detta från början. Många gånger gör jag rätt första omgången, men sedan börjar jag krångla efterhand.
Päivi skrev :Första mina tankar brukar vara korrekta. När jag andra gången tänker, då plockar jag bort det mesta.
Jag tänkte om x var en onödig sak där. Jag hade x i början, men när jag skulle visa det, då försvann x.
Jag tänkte, jag har så lätt skriva massa onödiga saker dit och därför försvann x. Skulle du ha sett mig i verkligheten skulle du ha sett allt detta från början. Många gånger gör jag rätt första omgången, men sedan börjar jag krångla efterhand.
Ja nen såg du inte/tänkte du inte på att
2y = -ax + 12 och
2y/2 = -a/2 + 12/2
är två helt olika sanband som inte alls säger sanma sak?
Det var just det som gjorde röran.
Någon måste vara närheten av mig, innan jag börjar krångla. Jag kan inte fatta att jag brukar vara på rätt spår många gånger, men sedan helt plötsligt blir jag osäker.
Jag hade en uppgift som jag inte alls var säker på, om jag hade gjort rätt eller fel, men facit sa att det var rätt.
