Vinkelvärden med olika intervall förvirrar mig
Hej! Jag försökte lösa ekvationen men kunde inte försätta pga av de värdena som v kan ta. Att v ligger mellan 0 och 3π betyder att vi kan ta emot bara positiva lösningar?.jpg?width=800&upscale=false)
Du går vilse lite i dina uträkningar.
Om du sätter in v = 2x+pi/4 och löser ekvationen så gäller det att
v = pi/4 + n•2pi, dvs
- v1 = pi/4 + n•2pi, dvs 2x1 + pi/4 = pi/4 + n•2pi, dvs 2x1 = n•2pi o.s.v.
och
- v2 = -pi/4 + n•2pi, dvs 2x2 + pi/4 = -pi/4 + n•2pi, dvs 2x2 = -pi/2 + n•2pi o.s.v.
Kommer du vidare då?
Men hur kommer villkoret på v in? Det står ju x i ekvationen.
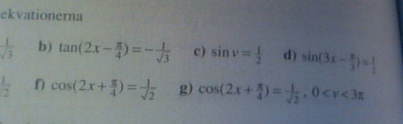
Kan du ladda upp en bild på uppgiften?
g).jpg?width=800&upscale=false)
Det gick att lösa f) med det sättet som skrev men där finns det inga villkor för v...det är därför har jag fastnat på g)
Villkoret är felskrivet eftersom det inte finns något v i ekvationen.
Troligtvis menar de antingen att x ska ligga i intervallet eller så menar de att 2x+pi/4 ska ligga i intervallet.
Det är omöjligt att veta vilket de menar så välj ett alternativ och räkna utifrån det.
I facit står x=3π/4, π, 7π/4, 2π, 11π/4. Detta kanske hjälper till att förstå vad de menar,eller?
Kapi skrev:I facit står x=3π/4, π, 7π/4, 2π, 11π/4. Detta kanske hjälper till att förstå vad de menar,eller?
Ja, då menar de att 0 < x < 3pi.
Kommer du vidare då?
Jag försökte lösa den. Så det blir cos (2x+pi/4)= Sätter 2x+pi/4=v (1)
cosv =
v1=arccos+n2pi =pi/4 +n2pi
v1 genom (1) blir 2x1+pi/4=pi/4+n2pi
2x1=n2pi
x1=npi
v2=-arccos+n2pi =-pi/4 +n2pi
v2 genom 1 blir 2x2+pi/4=-pi/4+n2pi
2x2=-2pi/4+n2pi
x2= -pi/4+npi
Och eftersom 0 < x < 3pi är det bara V1 som gäller, eller hur?
Bra och tydlig uträkning, det är bara slutet som behöver fixas.
Du vill hitta alla lösningar som ligger i intervallet 0 < x < 3pi.
Beroende på vilket värde n har så får du olika lösningar x.
Pröva med n = 0. Vad blir då x1? Vad blir då x2?
Pröva sen med n = 1, Vad blir då x1? Vad blir då x2?
Fortsätt så tills du kommer utanför det efterfrågade intervallet.
Fundera även om det finns något negativt värde på n som ger lösning i intervallet.
Jaha, jag trodde att den giltiga lösningen var antigen v1 eller v2 därför blev förvirrad.
De genomstrukna är utanför intervallet. Jag tror inte att det finns något negativt värde på n eftersom x1 kommer alltid blir noll men osäker för x2 för den krävs mer räkningar och kan inte tänka på något sätt som kan bevisa det..
- n=0 x1=0 och x2=-pi/4
- n=1 x1=pi och x2=3pi/4
- n=2 x1=2pi och x2=7pi/4
- n=3 x1=3pi och x2=11pi/4
- n=4 x1=4pi och x2=15pi/4
- n=-1 x1=-pi och x2=-5pi/4
Kapi skrev:Jaha, jag trodde att den giltiga lösningen var antigen v1 eller v2 därför blev förvirrad.
Ja, ekvationen innehåller x som obekant, så det är den som efterfrågas. Storheten v var ju bara något vi införde tillfälligt för att hjälpa oss med uträkningarna.
De genomstrukna är utanför intervallet. Jag tror inte att det finns något negativt värde på n eftersom x1 kommer alltid blir noll men osäker för x2 för den krävs mer räkningar och kan inte tänka på något sätt som kan bevisa det..
Om n < 0 så kommer både x1 och x2 att vara mindre än 0 och de faller därför utanför intervallet.
- n=0 x1=0 och x2=-pi/4
- n=1 x1=pi och x2=3pi/4
- n=2 x1=2pi och x2=7pi/4
- n=3 x1=3pi och x2=11pi/4
- n=4 x1=4pi och x2=15pi/4
- n=-1 x1=-pi och x2=-5pi/4
Bra lista och helt rätt!
Tack för hjälpen!