vinkler
hej, jag undrar på hur vi kan beräkna intervallen för vinklerna i sfären, när vi inför sfäriska koordinater
Beräkna volymen av området som bestäms av olikheterna x2 + y2 + z2 ≤ 1, y ≥ |x| och z ≤sqrt(x2 + y2).
där x2 och y2 och z2 betyder i kvadrat.
Hej, här är frågan, det som jag undrar på är hur kan man beräkna intervallet för vinklerna när vi byter till sfäriska koordinater
Den är ganska snäll, så du kan rita upp ett plan i taget. Först får du radien från klotet, sen ritar du upp den andra funktionen i samma bild som en enhetscirkel och får nästa vinkel. Till slut kan du strunta i y och rita upp konen med bara x och z på axlarna så har du den sista.
hej, och tack för din svar, radien är 1, kan du förklara lite mera hur jag ska rita området
Rita bara y>|x| först, likadant som du hade gjort på gymnasiet. Rita sen in en enhetscirkel i bilden och visa vad du får.
Precis. Du vill ha den lilla triangel-liknande biten högst upp. Vinka vinklar har kanterna till den?
Hej, är det den här triangelen, och vad menas med vinka vinklar
φ1= från 0 till pi/4
φ2= från 0 till 3pi/4
Just det, så för det svarta området gäller
Dvs, gränserna för :
Kan du räkna ut gränserna för också?
Använd
hej, igen men vad menar du med rightleftarrow
Jag har rättat till mitt inlägg nu, det blev fel i Latex.
Du har räknat ut gränserna för vinkeln i xy-planet.
Nästa steg är att räkna ut gränserna för vinkeln mot z-axeln.
kan vi använde att sqrt(x^2+y^2) =r och att detta medför att cos(θ) =1 , men då är vinkeln lika med antingen noll eller pi
Tänk på att i sfäriska koordinater (3 koordinater, x,y,z) är
Alltså är
Hej, är detta rät 
Njäe. Det är ingen ekvation. det är en olikhet
Dela båda sidor med r.
Dela båda sidor med
Så
dvs gränserna för är

I det gula området är
Tack så mycket, men betyder detta att vinkelen börjar från pi/4 till pi. Men hur ser vi att den ska ha pi värdet också .
skulle vinkelen inte vara lik noll då den är lika med sqrt(x^2+y^2)-axeln
Nej, du börjar inte alltid på 0, här har vi ett klot utan översta biten, så då måste vi börja på den vinkeln där figuren börjar. Om jag fattade frågan rätt?
Hej, jag tänkte nämligen på hur vi kommer fram till att vinkelen ska vara från pi/4 till pi. Vi kom fram till att den börjar från pi/4. Men hur ser vi till exempel på figuren, eller beräknar att den ska vara mindre än pi.
mvh
suad
Eftersom det inte finns någon undre gräns i olikheten kan vinkeln gå hela vägen ner till pi, och då pekar den rakt nedåt så längre än så går aldrig komma i sfäriska koordinater.
Hej, och tack för din hjälp, nu forstod jag, vinkelen får inte vara större än pi. Därmed ligger den mellan pi/4 och pi.
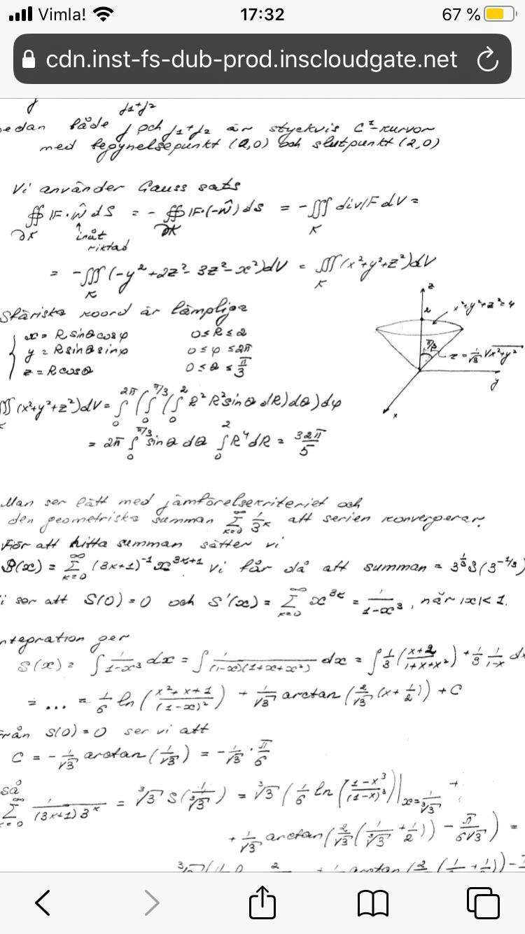
hej, igen i ett annat fråga får jag detta området, x^2+y^2+z^2=4, 3z^2=x^2+y^2, z>=0. så jag vet från klotet att radien är 2. och när vi byter till sfäriska koordinater får vi att vinkelen 0<φ<2pi. och att 0<θ<pi/3. men när jag använder att z=0 och att z=Rcosθ och lösar att cosθ=0, men får att θ=pi/2, så det är inte rätt, och även då jag använder att z=1/sqrt(3)*sqrt(x^2+y^2) som då ger att sqrt(x^2+y^2)=sqrt(3)*Rsinθ. och sätter att Rcosθ=sqrt(3)*Rsinθ får jag också fel, kan jag få hjälp så att jag får rätt intervall
Uppgift 7
suad, gör en ny tråd för den nya frågan, det blir så rörigt annars. /moderator
tack, det ska jag göra








