3 svar
99 visningar
plusminus behöver inte mer hjälp
plusminus 618
Postad: 27 maj 2024 13:26

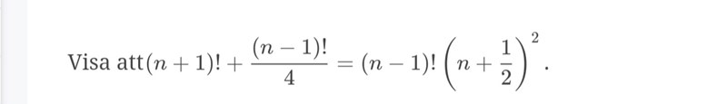
Visa

Förstår inte hur jag ska bevisa detta. 

Bedinsis Online 3316
Postad: 27 maj 2024 13:39

Du kan ju börja med att skriva om (n+1)! som (n+1)*n*(n-1)!, så att vänsterledet bara har fakulteter av (n-1), precis som i högerledet.

plusminus 618
Postad: 27 maj 2024 15:21 Redigerad: 27 maj 2024 15:22

4 (n+1)(n)(n-1)! + (n-1)! = (n-1)! n2 +n

är detta bra?

jag utvecklade parantesen i h.l och multiplicerade 4 från v.l.

Smaragdalena 78892 – Avstängd
Postad: 27 maj 2024 16:08
plusminus skrev:

4 (n+1)(n)(n-1)! + (n-1)! = (n-1)! n2 +n

är detta bra?

jag utvecklade parantesen i h.l och multiplicerade 4 från v.l.

Nej, bryt ut (n-1)! i vänsterledet. Vad blir den andra faktorn i VL?

Nu ser jag att du har markerat att du inte behöver mer hjälp men jag har redan skrivit mitt inlägg så jag postar det ändå.

Svara
Close