6 svar
352 visningar
Jezusoyedan behöver inte mer hjälp
Jezusoyedan 111 – Fd. Medlem
Postad: 24 mar 2020 10:19

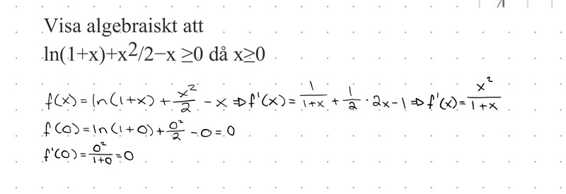
Visa algebraiskt att  ln(1+x)+x2/2−x ≥0 då x≥0

Hittills har jag kommit fram ända hit men jag vet dock inte om det stämmer. Ser det bra ut? 

jag tänkte att när lutningen är 0 så ökas inte värdet eller minskas eller har jag fel? 

Skaft 2363 – F.d. Moderator
Postad: 24 mar 2020 10:33 Redigerad: 24 mar 2020 10:33

Nja, det räcker inte att undersöka en enda punkt för att resonera kring hela intervallet x0x \geq 0. Du har kommit fram till att kurvan går genom punkten (0, 0), och i just den punkten är lutningen noll. Men sen då? Lutningen är inte noll överallt, och y-värdet ändras också.

Men kika på derivatan, inte det specifika värdet för x=0, men det allmänna uttrycket. Kan du säga något generellt om den, som gäller för alla x0x \geq 0?

dr_lund 1177 – Fd. Medlem
Postad: 24 mar 2020 11:10 Redigerad: 24 mar 2020 11:10

Undersök tecknet hos f'(x)f'(x) för x0x\geq 0. Kan du dra några slutsatser om f(x)?

Jezusoyedan 111 – Fd. Medlem
Postad: 24 mar 2020 11:26 Redigerad: 24 mar 2020 11:29
dr_lund skrev:

Undersök tecknet hos f'(x)f'(x) för x0x\geq 0. Kan du dra några slutsatser om f(x)?

Att derivatan är positiv?? 

dr_lund 1177 – Fd. Medlem
Postad: 24 mar 2020 13:07

Precis. Vad får det för konsekvenser?

Jezusoyedan 111 – Fd. Medlem
Postad: 24 mar 2020 15:24
dr_lund skrev:

Precis. Vad får det för konsekvenser?

att värdet ökar och blir ej negativ??? 

Skaft 2363 – F.d. Moderator
Postad: 24 mar 2020 15:25

Jupp! Vid x=0 var ju y=0. Om kurvan sen bara lutar uppåt kommer den aldrig kunna bli negativ.

Svara
Close