Visa algebraiskt hur förenklingarna går till b)
Hej!
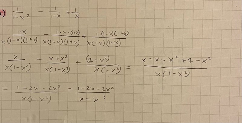
Jag har försökt lösa denna uppgift som du kan se nedan. Nedan kan du se hur långt jag kommit, men sen så förstår jag inte hur jag ska gå vidare. Kanske har jag gjort något fel i min uträkning? Uppskattar all hjälp!
Tack på förhand!


Bubo skrev:
Jag förstår inte riktigt vad felet är. Jag har testat att subtrahera och addera täljarna på nytt 2 gånger, men kommer ändå fram till samma svar hela tiden.
Fel av mig! Den röda rutan är ju rätt!
Det är nästa steg som blir fel.
Nu rättade jag till det, och nu börjar det likna något, men det är fortfarande inte helt rätt…

Jo, det är det. Du kan ju multiplicera täljare och nämnare med samma tal (vilket som helst) utan att det ändrar uttryckets värde.
Men 2x2-1/x3-x är väll ändå inte samma sak som 1-2x2/x-x3?
Jo, det är det.
Vilket som helst.
-1, till exempel.
Men då kan man ju lika gärna säga att vilket uttryck som helst, som t.ex 2x - 3 är samma sak som 3-2x?
Men tänk om x är 4. Då blir det att 2x - 3 = 5 oxh 3-2x blir -5 istället. Och då stämmer ju inte det att 2x - 3 = 3-2x?
Alldeles riktigt. Men det var inte det du frågade.
Du frågade om hela uttrycket .
Jag förstår inte riktigt skillnaden. När har uttrycket samma värde oavsett vilken term som står först och när har uttrycken olika värden beroende på vilken term som står först?
karisma skrev:Men 2x2-1/x3-x är väll ändå inte samma sak som 1-2x2/x-x3?
Välj något x-värde, räkna ut täljare, räkna ut nämnare
... för bägge uttrycken.
Uttrycken får samma värde. Men jag förstår inte varför dem får det när mitt exempel i #10 inte hade fått det.
Som jag frågade: Vad blir täljarna? Vad blir nämnarna?
Om jag har -1 som x?
Eller vad menar du? Kanske inte riktigt förstod frågan.
X-värde: _______
Första täljaren: ____________
Första nämnaren: __________
Andra täljaren: ____________
Andra nämnaren: __________
Även om 2x2 -x/x3-x = 1-2x2/x-x3 så ville ju Uppgiften att jag skulle förenkla till 2x2 -x/x3-x och inte 1-2x2/x-x3. Därför kommer jag ju behöva skriva om uttrycket på följande vis:

Javisst. Nu har du ju själv visat exakt vad du har frågat mig om flera gånger:
Ja nu på nått sätt blev det så haha. Men jag förstår fortfarande inte varför 2x-3 inte är samma som 3-2x?
Det är skillnad på att ha 2000kr på kontot och ta ut 300, eller att ha 300kr på kontot och ta ut 2000.
Jo men det förstår jag. Men det går liksom bara inte ihop i mitt huvud hur uttrycket som vi höll på med kan vara samma sak oavsett minustecknet, men detta uttrycket kan inte vara det. Hur kommer det dig? Är det för att det första uttrycket involverade division?
Javisst.
3/8 = (-3)/(-8)
Okej men då förstår jag bättre!
Men kan man alltid bara lägga till -1 så där i täljaren och nämnaren (som jag visade i min #5 bild)? Förändrar man inte uttryckets värde då fast man endast ska förenkla det?
Du kan alltid förlänga ett bråk (även om nämnaren är 1), d v s multiplicera täljare och nämnare med samma tal utan att bråkets värde ändras.
Smaragdalena skrev:Du kan alltid förlänga ett bråk (även om nämnaren är 1), d v s multiplicera täljare och nämnare med samma tal utan att bråkets värde ändras.
Just ja, det kan man! Börjar nog bli för sent för att räkna matte nu märker jag…
Nu förstår jag allt och har även rätt svar. Tack för hjälpen Bubo!
