Jag fick
2sin(x)cos^2(x)
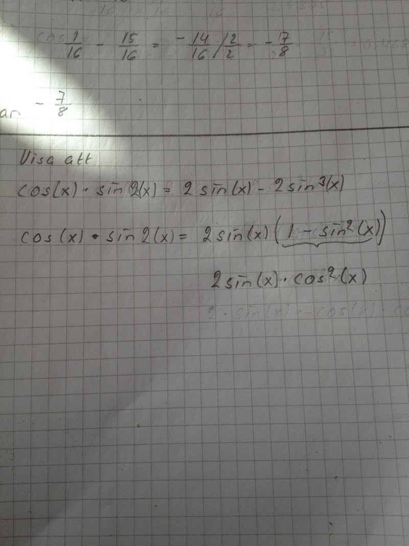
jac har cos kvadrat, men jag måste få bort ett. Hur ska jag gå tillväga med detta?
Leta upp formeln "sinus för dubbla vinkeln" och använd den.
2sin(x)= sin(x)cos(x)
är dubbla vinkeln.
Till att börja med - skriv sin(2x) istället för sin 2(x) så blir det tydligare och mindre förvirrat.
Du har uttrycket cos(x)*sin(2x).
Använd formeln för dubbla vinkeln på sinustermen.
sin(2x) = 2*sin(x)*cos(x).
Ersätt sin(2x) med detta:
cos(x)*sin(2x) = cos(x)*2*sin(x)*cos(x) = 2*sin(x)*cos^2(x).
Byt ut cos^2(x) mot 1 - sin^2(x) enligt trigettan.
Då får du 2*sin(x)*(1 - sin^2(x)).
Multiplicera in i parentesen så är du klar.
"Sinus för dubbla vinkeln" är sinus för den vinkel (2x) som är dubbelt så stor som en känd vinkel, x.
Du har skarivit av formeln för dubbla vinkeln fel. Den skall vara sin2x = 2 sin x cos x.
2 sin x * cos^2x till kan skriva som (2 sin x cos x) *cos x. Kan du hitta högerledet i "sinus för dubbla vinkeln" här?
Jag är inte riktigt uppmärksam bara. Jag hoppas att jag snart blir mera klarare i hjärnan. Det är bra syssla med matten. Man måste tänka på matten istället för sorgen. Ibland måste man äta.
Svaret är att det är bevisat till den uppgiften.
