35 svar
358 visningar
Päivi behöver inte mer hjälp
Päivi 5547 – Avstängd
Postad: 15 jul 2017 21:15

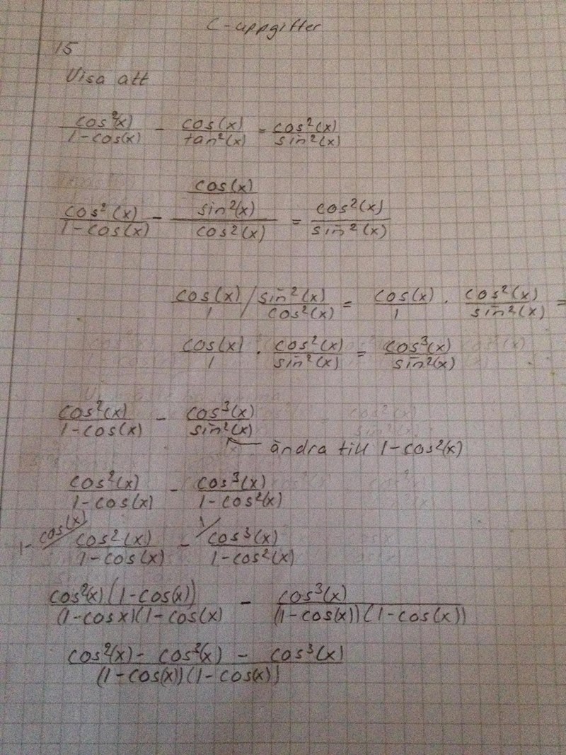
Visa att

Päivi 5547 – Avstängd
Postad: 15 jul 2017 21:15

Är det riktigt så här långt?

Päivi 5547 – Avstängd
Postad: 15 jul 2017 21:29

Päivi 5547 – Avstängd
Postad: 15 jul 2017 21:30

Titta på det här. 

Päivi 5547 – Avstängd
Postad: 15 jul 2017 21:37

Något är snett märker jag. 

Hjälp mig. 

Päivi 5547 – Avstängd
Postad: 15 jul 2017 21:54

Stokastisk 3597 – Fd. Medlem
Postad: 15 jul 2017 22:09

Felet du gör är att du skriver om cos2x1 - cos(x) till cos2xsin2x, detta stämmer inte. Det är ingen kvadrat på cosinus i nämnaren. Om man rättar till det så har du kommit fram till att du ska visa att

cos2x1 - cos(x)-cos3xsin2x=cos2xsin2x

Jag skulle göra så att jag skriver om VL som

cos2x1 - cos(x)-cos3xsin2x=cos2(x)sin2(x)(1 - cos(x))sin2(x)-cos3xsin2x=cos2(x)sin2(x)sin2(x)1 - cos(x)-cos(x)

och sedan fortsätter man förenkla det som står inom parentesen.

Smutstvätt 23654 – Moderator
Postad: 15 jul 2017 22:27

Bumpa inte din tråd inom 24 timmar efter att den först publicerats. Bumpa sedan inte din tråd mer än en gång per dygn. /Smutstvätt, moderator

Päivi 5547 – Avstängd
Postad: 16 jul 2017 07:52

Jag skriver även mellan stegen, då vill jag ha mera förklaring.

cos^2(x)/1 - cos(x)    -       cos^3(x)/sin^2(x) =

nu vill jag ha samma nämnare. 

sin (x)cos^2(x)/1-cos(x)   - ( 1- cos(x))cos^3/sin^2(x)

sin^2(x)cos ^2(x)/sin^2(x)(1-cos(x))   - (1-cos)(cos3(x)/sin2(x)(1-cos(x))

om vi ska förkorta bort både i täljaren och nämnaren sin^2(x), då har vi kvar

cos^2(x)/ (1- cos(x))  - cos ^3(x)/(1-cos(x))

eftersom vi har cos ^2(x) och cos ^3(x) på båda täljare. Måste vi dela upp det till termer.

cos(x)(cos (x)- cos ^2(x))/1 - cos (x)

hur ska jag nu fortsätta.?

Päivi 5547 – Avstängd
Postad: 16 jul 2017 08:00

Andra rad har jag ändrat till sin ^2 (x)

se andra raden 

sin^2(x)cos ^2(x)/ sin(x)(1-cos(x))  - se ändringen sin^2(x)(cos^3(x)/sin^2(x)(1-cos (x))

vill även nämna det här. 

Päivi 5547 – Avstängd
Postad: 16 jul 2017 08:47
Smutstvätt skrev :

Bumpa inte din tråd inom 24 timmar efter att den först publicerats. Bumpa sedan inte din tråd mer än en gång per dygn. /Smutstvätt, moderator

Päivi 5547 – Avstängd
Postad: 16 jul 2017 09:25

Jag skriver allt om, hur jag har gjort. 

cos ^2(x)/1- cos (x) här har vi både täljaren /nämnaren. Sedan sätter vi minus tecken mellan nästa bråk form. 

cos (x)/ tan ^2(x) både täljaren och nämnaren. Det här är lika med 

ett nytt bråk. cos ^2(x)/sin^2(x)

Vi ska dividera andra bråket till höger. 

Det här alltså här nedan. 

cos (x)/ tan^2(x)

tan^2(x)= sin^2(x)/cos^2(x)

nu fortsätter vi

cos (x)/1: sin^2(x)/ cos^2(x)

cos /1 gånger cos ^2(x)/sin^2(x)= cos ^3(x)/sin^2(x)

nu börjar vi beräkningen

cos^2 (x)/ 1-cos (x)   -  cos ^3(x)/sin^2(x)= 

nu ska vi ha samma nämnare till det här. 

Första bråket multiplicerar vi med sin^2(x), det blir 

sin^2(x)cos ^2(x)/1- cos (x)

andra bråket 

(1- cos(x)) cos^3(x)/sin^2(x)=

nu ska vi ha samma nämnare. 

Första bråket ser ut så här. 

sin^2(x)cos^2(x)/sin^2(x)(1-cos (x)

andra bråket. 

(1 - cos ) cos ^3(x)/sin^2(x)(1-cos (x)

kan vi ändra här i andra bråket där det står 1-cos  till sin^2(x)

då blir det

sin ^2(x)cos ^3(x)/ sin^2(x)(1-cos(x))=

sin^2cos ^2(x) /sin^2(x)(1-cos (x)

minus tecken mellan bråken. sin^2(x)cos ^3(x)/sin^2(x)(1- cos (x)) =

kan vi plocka bort sin^2(x) från båda bråken så här. 

si^2(x) - sin^2(x)= 0

sedan har vi kvar 

cos ^2(x) - cos ^3(x)/sin(x)(1-cos (x))

Täljaren måste vi dela upp. Se här. 

cos ^2(x) - cos ^3(x) till. 

cos ^2(x)(1-cos (x) i ttäljarencos nämnaren sin^2(x)(1-cos (x))

vi kan förkorta bort 1-cos (x) både i täljaren och i nämnaren. 

Då blir kvar 

cos ^ 2(x)/sin^2(x)

v,s,b

är detta rätt? 

Päivi 5547 – Avstängd
Postad: 16 jul 2017 09:28

Smutstvätt

nu begriper inte jag, vad du menar det som du säger. 

Päivi 5547 – Avstängd
Postad: 16 jul 2017 09:32

Päivi 5547 – Avstängd
Postad: 16 jul 2017 09:32

Är det här rätt?

Smaragdalena 78892 – Avstängd
Postad: 16 jul 2017 09:33

Vet du att  du kan editera ditt tidigare inlägg, så att du inte måste bumpa bara för att du har mer du vill ha sagt?

Använd parenteser eller ännu hellre formeleditorn så att det finns en chans att förstå vad du menar utan att behöva gissa - så som  du skrivit, cos^2(x)/1 - cos(x), betyder egentligen cos2x1 - cos x, och det tror jag inte att du menade!

Om vi tittar bara på faktorn sin2x1-cos x - cos x, så börja med att multiplicera cos x med (1-cos x), så att du får samma nämnare. Gör om sin2x sin^2x med trig ettan och förenkla.

Smaragdalena 78892 – Avstängd
Postad: 16 jul 2017 09:35
Päivi skrev :
Smutstvätt skrev :

Bumpa inte din tråd inom 24 timmar efter att den först publicerats. Bumpa sedan inte din tråd mer än en gång per dygn. /Smutstvätt, moderator

Är det inte höjden av ironi att bumpa på det här sättet?

Päivi - det är förmodligen fler än jag som betar av svaren i Pluggakuten nerifrån (det äldsta först), så eftersom du bumpar din tråd stup i ett kommer den högst upp hela tiden och jag hinner svara på alla andra inlägg innan jag kommer till ditt. Du får alltså vänta längre på svar än du skulle ha gjort utan att bumpa.

Päivi 5547 – Avstängd
Postad: 16 jul 2017 09:44

Nej det är det inte. 

Det kan vara svårt förklara för mig, när jag inte kan skriva bråk som jag vill. Det går inte ens skriva gånger tecken ens. Jag vill göra mellan stegen också, hur jag kommer fram till resultatet. Sedan vill jag veta, är det ok som jag gör. Den här uppgiften började jag igår med. Den är alltså inte än färdig. 

Jag lämnar den här uppgiften, när man inte kan få veta något. 

Det som det står får man gissa sig fram, vad personen har gjort. Det är lika mycket gissningar för mig. 

Nu vet du det. 

Smutstvätt 23654 – Moderator
Postad: 16 jul 2017 10:08
Päivi skrev :

Du har glömt slutparenteser i den sista raden, men annars stämmer det. Förkorta bort (1-cos(x)) i VL och du är hemma.

Päivi 5547 – Avstängd
Postad: 16 jul 2017 10:23

Jag frågar kan man göra så när man har

sin^2(x)cos (x). I första bråket  och ett minus tecken mellan båda bråken och sedan står det  sin^2 (x)cos ^3(x) i täljaren. 

Nämnaren har vi samma. Nu menar jag eftersom

sin^2(x) gånger med cos ^(x) och det är likadant med den andra. 

Du ser att jag har gjort så här 

sin^2(x) - sin^(x)= 0

sedan har vi bara kvar cos sakerna och det vill jag få minskad så att det går förkorta bort så som jag har gjort. 

Nu glömde jag parentesen som du påpekade. 

Jac glömde visa där att det går förkorta bort både i täljaren och i nämnaren 1-cos (x). Sedan har vi kommit fram till resultatet. 

Jag vill veta kan man göra så man tar från båda bråken bort sinuset som hör ihop med cosinus. 

Hoppad du förstår vad jag menar med detta!

Smaragdalena 78892 – Avstängd
Postad: 16 jul 2017 10:46

Har du försökt använda formeleditorn? Du hittar den genom att trycka på symbolen som ser ut som ett rot-tecken längst till höger överst i inskrivningsrutan. Gångertecknet som ser ut som en prick hittar du i andra fliken i formeleditorn.

Du skriver bl a

sin^2(x)cos (x). I första bråket och ett minus tecken mellan båda bråken och sedan står det sin^2 (x)cos ^3(x) i täljaren.

och jag klarar inte att tolka vad du menar.

 

Börja med det ledet som ser krångligast ut och försök manipulera det tills det ser ut som det andra ledet. Jag tycker VL ser krångligast ut. Stokastisk förklarade början på ett bra sätt för några timmar sedan.

När man gör ett sådant här bevis, börjar man alltså med det ena ledet och jobbar sig fram till det andra ledet. Skriv inte ut "mål-ledet" förrän du har kommit dit (förutom om du skriver av själva uppgiften, förstås).

Päivi 5547 – Avstängd
Postad: 16 jul 2017 10:56

Någon sådan formel editor har inte jag alls använd. Ska försöka göra det nästa gång om jag klarar av det. 

Det är det bästa. Jag vill också visa mellan stegen. 

Det är svårt kunna förstå varandra på det här viset. 

Om du tittar den sista bilden ovanför sin^2(x)- sin^2(x), kan vi ta bort det här som är multiplicerad med cosinus termer på det här viset. Då blir det kvar enbart cosinus termer. 

Därför har jag skrivit så att det här sinus blir noll, när jag har plockat bort de helt som tillhörde med cosinus. 

Päivi 5547 – Avstängd
Postad: 16 jul 2017 10:57

Jag börjar alltid med det ledet som ser krångligaste ut. Den andra lämnar jag åt sidan så länge, innan jag kommer fram till slut resultatet. 

Smaragdalena 78892 – Avstängd
Postad: 16 jul 2017 11:27
Smutstvätt skrev :
Päivi skrev :

Du har glömt slutparenteser i den sista raden, men annars stämmer det. Förkorta bort (1-cos(x)) i VL och du är hemma.

Här har du börjat med att skriva av uppgiften, vilket är jättebra. Men sedan har du inte vara skrivit av VL på nästa rad uck förenklat det steg för steg, utan skrivit av HL också. Då blir det rörigt. Sedan klarar jag inte att tyda vad det är du har gjort på tredje raden - först har du skrivit av första termen, lämnat en stor lucka och håller sedan på och förenklar andra termen, tror jag. På fjärde raden har du genomfört förenklingen. Sedan vill du ha samma nämnare i båda termerna (bra idé) och försöker göra två saker samtidigt (det kan fungera om man håller tungan rätt i mun, men det är oftast smartast att göra en sak i taget). På sjätte raden försöker du göra något som inte går - byta ut (1-cosx) (1 - cos x) mot sin2x sin^2 x , men det går inte eftersom det inte är cos2x cos^2 x utan bara cosx cos x i parentesen. Dessutom är det fullständigt onödigt, eftersom du har en likadan parentes i nämnaren som du kan dividera med. Gör det istället, så kommer du nog snart fram till HL.

Päivi 5547 – Avstängd
Postad: 16 jul 2017 12:02

På tredje raden har jag tagit det som kommer från allra först i början. Vid sidan av detta har jag tagit  det som 

ser ut så här. 

cos (x)/ tan^2

tan^2(x) är det samma som sin^2(x)/cos^2(x)

Vid sidan av detta som är på tredje raden åt höger. Där har jag använt bråket. 

Där har jag tagit 

cos(x)/1: sin^2(x)/ cos ^2(x)

om du vanlig bråk räkning. 

Blir det 

cos gånger cos ^2(x)= cos ^3(x) i täljaren

nämnaren har vi

1 gånger  sin^2(x) = sin^2(x)

då använder jag detta för att fortsätta VL ledet. 

Nu struntar vi totalt HL ledet.  Det står allra först i början, vad resultatet skall vara. 

Vi fortsätter enbart med VL. Ledet. 

Titta på fjärde raden, vad jag fick fram där.

sedan ska vi ha samma nämnare.. Här visar jag att jag är på gång med detta. 

På sjätte rad har jag fått samma nämnare. 

Nu har jag suddat bort resterande eftersom du påpekade mig om 

(1- cos(x) ) och det stod inte cos^2(x), då lämnar jag kvar den som (1- cos(x))

nu står jag kvar i samma läge för att kunna fortsätta. Jag tittar allra HL ledet, när vi kommer till slut resultatet. Vi vet, hur slut resultatet skall se ut. 

Jag jobbar enbart med VL ledet och struntar HL ledet. 

Päivi 5547 – Avstängd
Postad: 16 jul 2017 12:03

Jag vill ha hjälp med detta nu. 

Päivi 5547 – Avstängd
Postad: 16 jul 2017 12:22

Nu har jag kommit till resultatet. Jag dividerade som du sa och kom till rätt svar. 

Tack för hjälpen. / Magdalena. 

Läs genom, vad jag menade hur jag har jobbat med detta. HL ledet tar jag när jag kommer till slut resultatet, eftersom svaret ändå skall vara den. 

Det är svårt kunna skriva allt per mobil telefon som jag gör. 

Smaragdalena 78892 – Avstängd
Postad: 16 jul 2017 12:28 Redigerad: 16 jul 2017 12:31

Du får inte snabbare hjälp om du bumpar, det är bara irriterande  för oss om svarar.

Gå tillbaka till din femte rad. Förläng det vänstra bråket med sin2x sin^2 x istället, så kan du bryta ut faktorn cos2 xsin2 x. Förenkla den nya parentesen istället. Det blir mycket enklare så. Eller också bryter du ut samma faktor på din sjätte rad. Sedan behöver du substituera faktorn sin2x sin^2 x i första termen i det nya uttrycket mot 1-cos2x 1 - cos^2 x och förenkla.

Päivi 5547 – Avstängd
Postad: 16 jul 2017 12:44

Jag är mera van vid detta sättet med uppgiften. Nu visar jag enbart VL ledet. Jag gjorde division på allt. Kom till till resultatet  se bild hör nedan. 

Päivi 5547 – Avstängd
Postad: 16 jul 2017 15:00

Där det står division här nedan. 

Där har det gått snett. Räkna inte med svar v.s.b 

titta tredje raden nerifrån 

1* cos ^2(x)/1*(1-cos(x)) - 1*cos^3/1*sin^2(x)= cos ^2(x)/1-cos(x)-cos^3(x)/sin^2(x)

bryt ut detta. 

cos ^2(x) - cos ^3(x)

cos ^2(x)(1-cos (x)/(1-cos(x))sin^2(x)

något är ändå galet i den sista delen efter division. 

Kan någon hjälpa mig med detta? 

Smaragdalena 78892 – Avstängd
Postad: 16 jul 2017 15:21

Få se nu om det går att tyda det du skrivit... Menar du 1· cos2 x1·(1-cos x) - 1· cos3 x1·sin2 x = cos2 x1-cos x -  cos3 xsin2 x ? I så fall har du glömt en parentes i nämnaren i första termen i HL.

Vi vill bryta ut cos2x cos^2 x ur detta. Då får vi cos2 x (11-cos x - cos xsin2 x) vilket inte ser ut att vara samma sak som du skrev.

Om vi sedan förlänger första termen i parentesen med  sin2x sin^2x kan vi bryta ut 1sin2 x ur parentesen. Då har vi en sin2x sin^2 x kvar i täljaren, som man kan byta ut mot 1-cos2x 1-cos^2 x tack vare trig ettan. Gör precis så här, och säg till igen när du har kommit så långt.

Päivi 5547 – Avstängd
Postad: 16 jul 2017 15:37

Inte kommer jag fram med det här. 

Smaragdalena 78892 – Avstängd
Postad: 16 jul 2017 15:56

Var kör du fast nu? Hur mycket av det jag har skrivit har du gjort?

Päivi 5547 – Avstängd
Postad: 16 jul 2017 16:10

Jag kanske får vänta med uppgiften till höst. Har skrivit det i boken. 

Smaragdalena 78892 – Avstängd
Postad: 16 jul 2017 16:24

Eller vänta med den i en vecka eller så, och försök sedan lösa den utan att titta på dina gamla försök. Det minskar risken att man skall hamna i samma gamla hjulspår omigen.

Päivi 5547 – Avstängd
Postad: 16 jul 2017 16:26

Jag får nog lägga av med matten helt. 

Svara
Close