Visa att 2021^60 -1 är delbart med 39
Hej!
Jag kommer verkligen ej längre än såhär
(4*500+21)^60 =1 mod(39). Jag har svårt för såna uppgifter tyvärr

Vilka är faktorerna i 39?
Laguna skrev:Vilka är faktorerna i 39?
3 och 13
Kan du visa att 202160-1 är delbart med 3?
(Du har skrivit fel i rubriken.)
Laguna skrev:Kan du visa att 202160-1 är delbart med 3?
(Du har skrivit fel i rubriken.)
Jag har problem att visa det. Var ska man börja tycker du? Vi har (4*500+21)^60=1 mod 3
Att skriva 2021 som 4*500+21 ger inget, men ta det modulo 3 i stället.
Laguna skrev:Att skriva 2021 som 4*500+21 ger inget, men ta det modulo 3 i stället.
Hm 3*673-1 ger ju 2021 så (2021)^60 är konguent med -1^60 mod 3. Sen vet jag ej hur man går vidare därifrån..
Du menar (-1)^60 mod 3.
Du har sett det här förut: titta på (-1)^2 mod 3.
Laguna skrev:Du menar (-1)^60 mod 3.
Du har sett det här förut: titta på (-1)^2 mod 3.
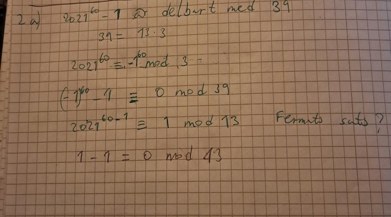
Såhär gjorde jag. Har jag tänkt och gjort rätt?

Har du visat att (-1)60 är 1 mod 3? Du får vara tydligare.
Vad gäller 13 vet jag inte. Fermats sats kanske är användbar.
Laguna skrev:Har du visat att (-1)60 är 1 mod 3? Du får vara tydligare.
Vad gäller 13 vet jag inte. Fermats sats kanske är användbar.
Ja det blir 1 eftersom exponenten är jämnt. Jag vet ej hur man visar det som sagt. Detta är min försök så länge. Vad gör man nu?

Hur ser Fermats sats ut om du använder den för (mod 13)?
Laguna skrev:Hur ser Fermats sats ut om du använder den för (mod 13)?
Som bilden nedan
2021^(13-1) = 1 mod (13)
Ja, det stämmer.
Sista raden stämmer inte, men det är väl slarvfel.
Laguna skrev:Ja, det stämmer.
Sista raden stämmer inte, men det är väl slarvfel.
Varför stämmer ej den? 2021^60 är ju konguent med (-1)^60 mod 3.
Ja men det är ju inte det det står.
Laguna skrev:Ja men det är ju inte det det står.
Nej jag vet det står 2021^60 -1 är konguent med (-1)^60 mod 3. Varför är det ej sant om följer räknelagarna a^m är konguent med b^m mod n?
Var får de 6 ifrån när de använder fermats lill sats? Jag hänger ej med.

