5
svar
136
visningar
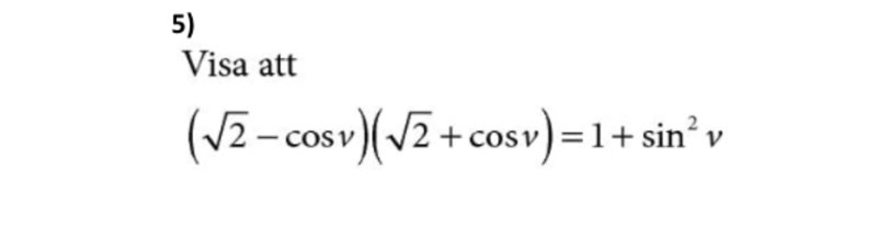
Visa att
Har försökt multiplicera vänster ekvationen men kommer inte längre fram. Jag vet man ska använda trigonometriska ettan
Visa vad du får när du multiplicerar ihop paranteserna.
joculator skrev:
Visa vad du får när du multiplicerar ihop paranteserna
Bra!
Men så du har kvar:
kan du skriva om med hjälp av trig.ettan?
-----------------
Eller kanske se att och sedan skriva om m.h.a trig.ettan
Tack så mycket :) Jag förstår nu
joculator skrev:Bra!
Men så du har kvar:
kan du skriva om med hjälp av trig.ettan?
-----------------
Eller kanske se att och sedan skriva om m.h.a trig.ettan
Tack 😊