Skriv om VL som du har gjort (tror jag, jag ser inte allt på telefonen). Vad händer om du sedan använder dubbla vinkeln?
Du är på god väg.
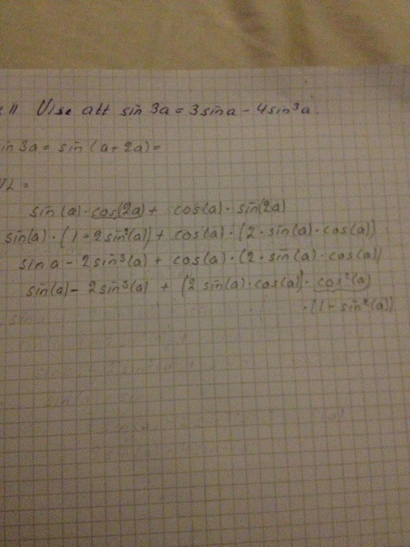
Vänsterledet ser du ut att ha en bra början på, och på högerledet har du tänkt rätt till att börja med (men inte sista omskrivningen).
Fortsätt med omskrivningarna, så kommer du nog fram till likheten.
VL=
sin(3a)=sin(a+2a)= sin(a)cos(2a)+cos(a)sin(2a)
HL=
3sin(a)-4sin^3(a)
jag skulle kunna tänka mig göra så här.
3sin(a)-4(sin(a)sin^2(a))
3sin(a)- 4 sin(a)(1-2sin^ 2(a)
mera vet inte jag.
Päivi skrev :
3sin(a)-4(sin(a)sin^2(a))
3sin(a)- 4 sin(a)(1-2sin^ 2(a)
Nej, sin^2(a) är inte (1-2sin^2(a))
Ett litet, men ofta återkommande, slarvfel är att du saknar en sista högerparentes.
Jag skulle låta HL vara och skriva om VL.
Använd formlerna för dubbla vinkeln i ditt omskrivna VL!
Jag återkommer snart. Jag ska göra i ordning mina djur. Det tar ca 30 minuter. Kan hända kortare tid också. Jag kommer snart.
VL= vänster ledet.
sin(a)((cos^2(x)-sin^2(x))+sin(a)((cos^2(a)-sin^2(a))
Päivi skrev :VL= vänster ledet.
sin(a)((cos^2(x)-sin^2(x))+sin(a)((cos^2(a)-sin^2(a))
Nej hur kom du fram till detta och var får du x ifrån?
Man är van skriva x i allt. Nu hoppas jag att jag har skrivit a i allt.
Päivi skrev :Man är van skriva x i allt. Nu hoppas jag att jag har skrivit a i allt.
Ja men ditt VL är fel. Titta i din trådstart. Där har du gjort rätt.
sin(3a) = sin(a+2a) = {additionsformeln för sinus} = ...
Det är fortfarande samma fel.
Återigen, titta i trådstarten, där har du gjort rätt omskrivning av VL.
Det här är additionsformeln för sinus. Jag vet att du kan den.
Såja, nu ser det bättre ut, förutom absolut sista raden, den är fel.
Multiplicera ihop faktorerna i sista termen så får du en cos^2-term som du kan göra om till en sin^2 med hjälp av trigonometriska ettan. Sen är det bara att förenkla så är du klar.
Du slarvar. Mycket.
Titta på sista termen på näst sista raden. Den innehåller 2 st cos(a)-faktorer (understrukna med rött). Det är rätt.
Titta nu på sista termen på sista raden. Hur mån gacos(a)-faktorer innehåller den (understrukna med blått)?

Ja. Bra.
Nu saknar jag bara en högerparentes på slutet.
Räkna gärna parenteser. Det ska vara lika många vänster- som högerparenteser.
Men till saken. Multiplicera nu in 2*sin(a) i parentesen i sista termen och förenkla. Sedan är du klar.
Nu ser det rätt ut! En sista förenkling så är du vid HL.
Tack så mycket för hjälpen!
Jag säger God natt till Er alla!
vi hörs imorgon igen.
Där satt den!
Bra, men jag vill att du är mycket mer noga med detaljerna.
Du hade rätt uttryck för additionsformeln i trådstarten, men sedan plötsligt började du skriva fel uttryck, och höll fast vid det trots att jag påpekade felet.
Och den där extra cos(a)-faktorn ...
Det kommer, när jag håller på med detta. Jag försöker koncentrera mycket, men det är inte så lätt. Jag måste bara träna. Vad tycker du om likhets tecknen nu?
Jag har glömt skriva de dit.
Päivi skrev :Vad tycker du om likhets tecknen nu?
Nu är det för få likhetstecken.
Du borde skriva så här:
VL:
sin(3a) = sin(a+2a) = {additionsformel för sinus} =
= sin(a)cos(2a) + cos(a)sin(2a) =
= {formler för dubbla vinkeln sin och cos} = ...
Och så vidare.
Det finns en hel del likhets tecken där, om du tittar mera noggrant.
Päivi skrev :
Ja nu ser det bra ut!
Jag börjar bli säkrare på det här än vad jag var tidigare med detta. Man märker skillnad nu när det står ex sin (2x) att det har med dubbla vinkeln att göra.
VL = sin 3x = sin (2x + x)
= sin 2x cos x + cos 2x sin x =
= 2 sin x cos x cos x + (cos2x - sin2x) sin x =
= 2 sin x cos2x + (1 - sin2x - sin 2x) sin x =
= 2 sin x (1 - sin2x) + (1 - 2sin2x) sin x=
= 2 sin x - 2 sin3x + sin x - 2 sin3x =
= 3 sin x - 4 sin3x = HL





