visa att
Formeln
cos(2x)=cos^2(x)-sin^2(x)
cos(2x)=2cos^2(x)-1
cos(2x)=1-2sin^2(x)
sin(2x)=2 *sin^2*cos^2(x)
om det är plus tecken framför då får man välja den som liknar den andra sidan och de siffrorna
exempel
Ska du alltså visa att ?
Du skriver HL = högerledet, men sedan ser det ut som om du börjar arbeta med VL, fast på raden under det så skriver du något väldigt konstigt.
Nu måste jag fråga dig, har du verkligen kollat att du har använt dessa likhetstecken på korrekt sätt?
Det rödmarkerade likhetstecknet, där står det att . Hur har du kollat (och dubbelkollat) att det verkligen stämmer?
Det blåmarkerade likhetstecknet, där står det att eller något liknande. Hur har du kollat (och dubbelkollat) att det verkligen stämmer?

Dessutom vore det toppen om du slutade skriva argumenten (vinklarna) till sinus- och cosinusfunktionerna med hjälp av "upphöjt till"-knappen och istället bara använder vanliga parenteser.
Du skriver så här: . Men det blir mycket lättare att läsa om du istället skriver:
Ettan har jag plockat från VL och vill få till täljaren för att fortsätta.
Jag har plockat med det som behövs och inte tänkt på att det nu står cos(2x)
Jag har använt rätta knappar i formeleditor, men kan inte förstå att det ser annorlunda ut i din telefon. Jag har inte alls använt ^ i formeleditor.
Päivi skrev :Ettan har jag plockat från VL och vill få till täljaren för att fortsätta.
Jag har plockat med det som behövs och inte tänkt på att det nu står cos(2x)
Du har alltså inte kollat och dubbelkollat som jag har bett dig om ett flertal gånger. Gör det!
Jag har använt rätta knappar i formeleditor, men kan inte förstå att det ser annorlunda ut i din telefon. Jag har inte alls använt ^ i formeleditor.
Det ser ut som att du har använt först den rödmarkerade (upphöjt till), sedan den blåmarkerade (division) knappen i formeleditorn. Men du skulle ha använt den gröna (parenteser), eller bara helt enkelt skrivit parenteser med tangentbordet.

Nu förstår jag. Så har jag gjort som Du har beskrivit det.
Hur var det med den där uppgiften som jag gjorde slutet av den?
Jag vet inte riktigt vad som händer i uppgiften om jag ska vara ärlig.
Vad är det som ska bevisas, vart börjar uppgiftens uträkningar, vad gör du först?
Päivi skrev :Nu förstår jag. Så har jag gjort som Du har beskrivit det.
Pröva att bara skriva "sin(x)" i formeleditorn så ska du se att det blir snyggt. Då ser det ut så här:
Om du behöver ha division någonstans så använder du divisionstecknet (blåmarkerade).
Som till exempel här: .
Om du behöver skriva upphöjt till så trycker du på den symbolen (rödmarkerade) där du vill sätta exponenten.
Till exempel , och så vidare.
Lek runt lite så kommer du nog att lära dig snart.
Hur var det med den där uppgiften som jag gjorde slutet av den?
Jag ser även här att du har tänkt och gjort rätt, men du har även här skrivit en hel rad fel.
Bredvid exempel har du den. Om jag kan redigera, så syns den bättre.
Päivi skrev :Bredvid exempel har du den. Om jag kan redigera, så syns den bättre.
Redigera inte ditt inlägg Päivi, då blir mina kommentarer hängande i luften.
Skriv istället ett nytt här efter.
Jag frågar mycket om matte 4 och det betyder att jag vill veta att jag inte gör fel, när det är så nytt allting. Trigonometri lägre kurser har jag läst. Jag måste bara lära mig. Jag vill också se skillnader, hur man gör ovs. Ser du någon förbättring att ställa upp. Ex räkningar. Jag glömmer bort en hel del. Glömmer bort parenteser. Parenteser är viktigt att du påpekar mig.
Det är inte lätt läsa en kurs över där man egentligen inte befinner sig. Jag ligger i matte 3 c.
Kolla in denna korta instruktionsvideo för formeleditorn Päivi.
De första 2 minuterna är bra, sedan handlar det mest om sådant som inte är intressant för oss som användare.
Päivi skrev :Jag frågar mycket om matte 4 och det betyder att jag vill veta att jag inte gör fel, när det är så nytt allting. Trigonometri lägre kurser har jag läst. Jag måste bara lära mig. Jag vill också se skillnader, hur man gör ovs. Ser du någon förbättring att ställa upp. Ex räkningar. Jag glömmer bort en hel del. Glömmer bort parenteser. Parenteser är viktigt att du påpekar mig.
Jag kommer att fortsätta att påpeka fel och föreslå förbättringar så länge jag orkar eller tills du säger stopp, Päivi.
Men som motprestation så kommer jag att kräva att du verkligen försöker följa mina råd, speciellt vad gäller likhetstecknet:
Du vet redan att du varje gång du använder ett likhetstecken, verkligen ska kolla och dubbelkolla att det som står innan likhetstecknet är identiskt med det som står efter.
Eftersom jag har tjatat om det så många gånger att jag har tappat räkningen och du ändå fortsätter att använda likhetstecknet fel så kommer jag framöver att bli mer och mer hård på det och kräva att du redovisar hur du har kollat att det stämmer.
Som sagt, om du tycker att jag är för tjatig så säg bara till.
Jag har tittat på video snutten rätt nyligen. Jag kommer prova imorgon eller idag rent sagt.
För mig är det bra att du är sådan som du är. Det tycker jag är en bra sak hos dig.
Min sambo tog inte så hård på parenteser eftersom matte 4 är nytt för mig. Han påpekade lite om sådant till mig. Han visste att jag är ovan än. Jag tyckte att min sambo gick för snabbt framåt med mig. Han ville få bort mig från matte 4. En kurs över är alltid svår, innan man verkligen är där.
Det är bra att du påpekar.
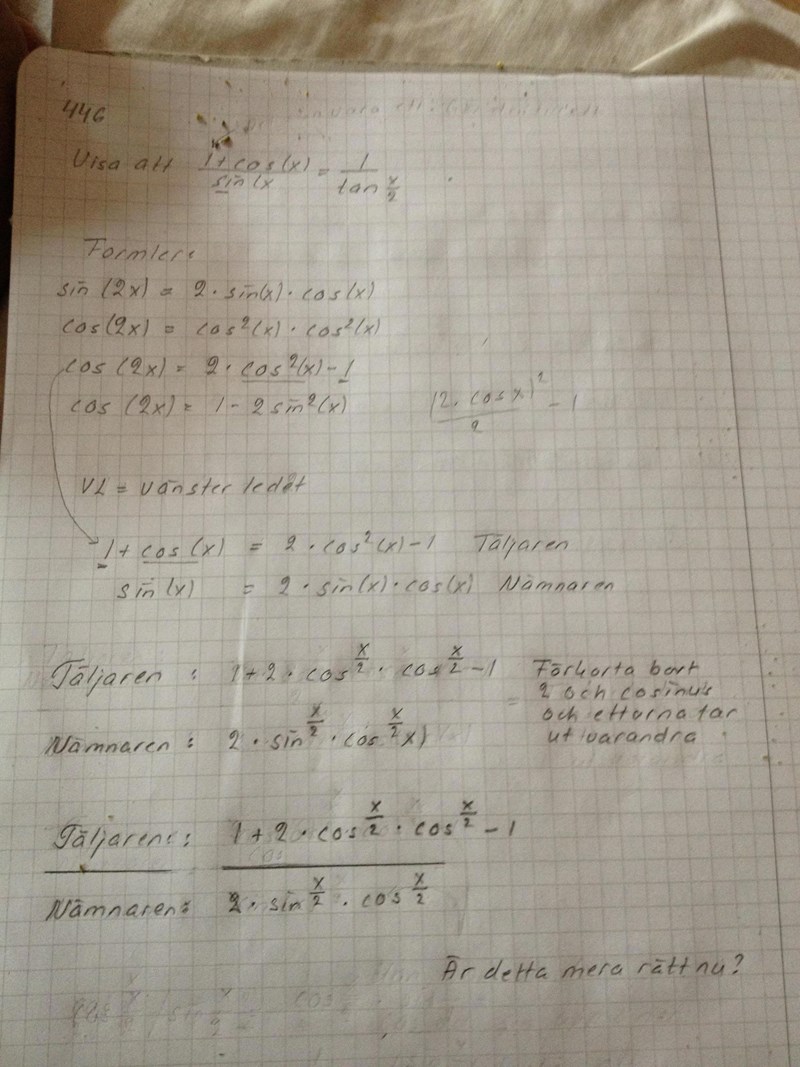
Ja alltså du har gjort en rätt väg dit, men observera att:
Du har sagt att cos(x) = 2*cos(x)^2 - 1, men det måste stå att cos(x) = 2*cos(x/2)^2 - 1.
Likväl säger du att sin(x) = 2 * sin(x)*cos(x), vilket inte alls stämmer, sin(x) = 2 *sin(x/2)*cos(x/2).
Sen kan man inte vända cos(x) och sin(x) upp och ner hur man vill...
Men det som står där nu är 1/(tan(x/2), och det var väl det som skulle visas.
Något är ändå fel här då. Kan du beskriva lite mer om det.
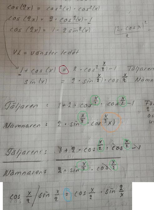
Titta översta bilden. Är den mera riktig?
Ja alltså det är några ställen som du borde kolla extra på, men i övrigt ser det okej ut.
Men t.ex så säger du att cos(2x ) = 2cos(x)^2 - 1, vilket är helt korrekt
Då noterar också att cos(x) = 2cos(x/2)^2 - 1, vilket också stämmer
Men samtidigt har du skrivit att 1 + cos(x) = 2cos(x/)^2 - 1....
Du har kommit fram till rätt slutsats men observera det som Yngve har varit noggran med att påpeka, kolla ALLTID så att det som står på båda sidor om ett likhetstecken faktiskt är lika!.

- Den röda likheten stämmer inte!
- Vid det gröna, det ser ut som du skriver och , detta är inte korrekt. Det bör vara och .
- Vid det orangea så ser det konstigt ut, vad gör där?
- Den blå likheten stämmer inte, det gäller inte att .
Om du vill försöka försäkra dig om att en likhet gäller, så kan du använda miniräknaren genom att testa att räkna ut VL för några värden på x och göra samma sak med samma värden i HL. Om du får olika resultat i VL och i HL så kan likheten omöjligt stämma.
Den som du färgade med orange färg. Det var något jag hade suddat bort och en liten sak satte kvar än där. Den har jag tagit bort.
Jag ska göra nytt försök här, men jag nu undrar hur får man sinus komma upp till täljaren eftersom det ska vara tan och ett halv. Det vill jag veta.
Fast du ska inte ha upp i täljaren. Du vill ju visa att det är lika med , det gäller att
Hur får man bli det bli tan en halv?
Såg du mitt senaste svar?
Jag ska titta på det nu. Ibland är det svårt kunna se allt från telefonen.
Är det riktigt att ettorna tar ut varandra i täljaren. Har jag gjort fel även där eftersom jag inte förstår varifrån kommer 1=1 som du har skrivit i täljaren.
Okej så en sammanfattning av uppgiften ( nu gör jag det du har gjort i ett svep ).
Lämpliga formler: cos(2x) = 2cos(x)^2 - 1 och sin(2x) = 2sin(x)cos(x)
Vilket då ger oss: cos(x) = 2cos(x/2)^2 - 1 och sin(x) = 2sin(x/2)cos(x/2).
Uppgiften: Visa att (1+cos(x)) / sin(x) = 1/(tan(x/2)
VL: (1+cos(x))/sin(x) =
(1 + (2cos(x/2)^2 - 1))/(2sin(x/2)cos(x/2)) =
2cos(x/2)^2 / 2sin(x/2)cos(x/2) =
cos(x/2) / sin(x/2) =
1/((sin(x/2) / cos(x/2)) =
1/(tan(x/2) = HL
V.S.V ( Vilket skulle visas )
Nu förstår jag det hela.
Tack så mycket för detta!



