Jag förutsätter att det borde stå
och att du ska visa att detta är en identitet.
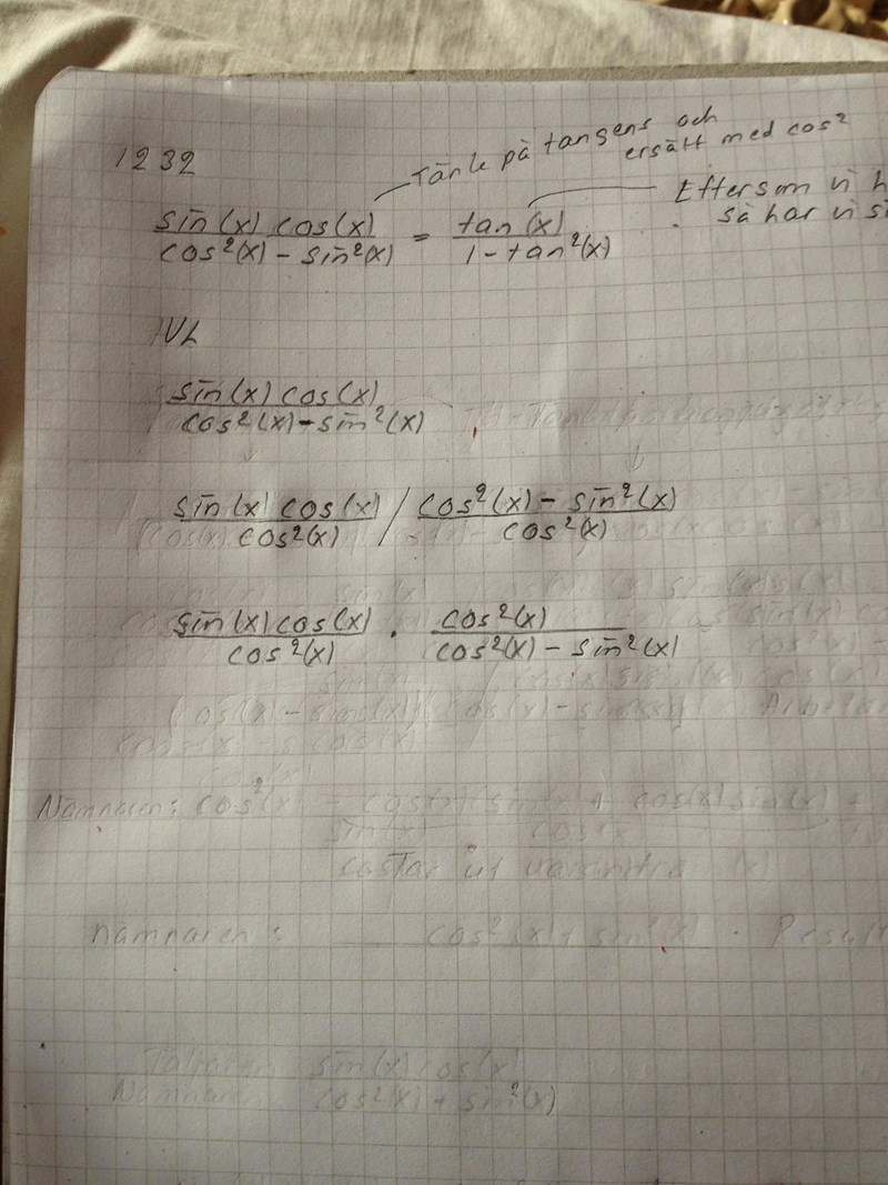
Lösning: Du gör saker mer komplicerade än de är.
Minns att ett bråks värde inte förändras om man dividerar täljare och nämnare med samma tal
Dividera nu med
Målet är trots allt att uttrycka vänsterledet i tangens. (Om ursprungsformuleringen var en ekvation så utnyttjar man första identiteten först och löser sen)
Hej Päivi,
Det ser ut som att du gjort något konstigt med nämnaren.
. Dvs likhet råder INTE. Jag tror du har blandat ihop kvadreringsregeln med konjugatregeln.
Testa istället att dela både täljare och nämnare med
Det ska jag göra.
Vad får du om du dividerar täljaren i VL med ? Vad får du sedan om du dividerar nämnaren i VL med samma sak?
Menar du sin(x)/cos (x)?
Ok, då visar jag det till dig! Vänta lite.
Sista raden skall du inte göra. Om du tittar på täljaren i den näst sista raden så kan du dividera bort cos x och får kvar sin x / cos x = tan x vilket är det du vill ha i täljaren, eller hur? Hur skall du då göra för att få rätt nämnare?
Nämnare måste vara cos ^2(x)
Nu har du alltså rätt täljare. Kan du nu förenkla till den nämnare du vill ha: ?
Det gäller ha ögonen öppna. När man inte är van, så ser man inte sådant så lätt.




