Visa att 5^(2n+1)-3^(2n+1)-2^(2n+1) är delbart med 30.

Sitter med uppgiften ovan och är lite kluven. Har precis jobbad med induktion, men vet inte ifall det är rätt väg att gå? För då ska jag skriva om det som en talföljd på något vis och göra antaganden?
Har skrivit ner de första talen, och ser att det är delbart med 30.
Tycker sådana här "visa att" frågor är lite bökiga, har ingen riktigt bra strategi att utgå ifrån. Ser ju att det stämmer, men sen bevisa det.
Tack på förhand! :)
Detta är en typisk uppgift för induktionsbevis, så fortsätt på den vägen. Du har dessutom redan börjat. Nu är det dags för ett s k induktionsantagande: Antag att påståendet är sant för n=p. Det får du uttnyttja för att visa, att det då är sant för n=p+1. Lyckas du med det, så gör INDUKTIONSAXIOMET resten av jobbet.
"Visa att-frågor" kommer att dominera din framtid i matematiken, så det är bara att ta tjuren i hornen.
Tomten skrev:Detta är en typisk uppgift för induktionsbevis, så fortsätt på den vägen. Du har dessutom redan börjat. Nu är det dags för ett s k induktionsantagande: Antag att påståendet är sant för n=p. Det får du uttnyttja för att visa, att det då är sant för n=p+1. Lyckas du med det, så gör INDUKTIONSAXIOMET resten av jobbet.
"Visa att-frågor" kommer att dominera din framtid i matematiken, så det är bara att ta tjuren i hornen.
Tror mig veta hur jag ska lösa uppgiften, men är inte helt hundra.
Jag kan visa hur långt jag har kommit och resonerat. Jag har satt
Sen sätter jag så att jag får 3m.
Jag tolkar detta som att jag får fram talet som delbart med 3, och alla tal som är delbara med 30 är ju delbara med 3?
Vet inte om jag har fått fel eller ifall jag tolkar mitt svar fel?
Fram t o m den tredje raden är jag med, men sedan kan jag inte se vad som händer. Om vi tittar t ex på potenserna av 5 har vi i tredje raden 52 52k+1 = 25*52k+1 och i fjärde raden tre likadana termer 52(k+1) dvs 3*52(k+1) = 3*52k+2 =3*5*52k+1 =15*52k+1 så dessa stämmer inte. Dessutom: det som du får utgå från är induktionsantagandet att 52k+1 -3 2k+1 -22k+1 = 30*m alltså med potensen 2k+1 -inte något med potensen 2(k+1) för det är inte samma sak.
En tredje sak ligger mera i logiken/layouten. Ditt bevis ska ju bygga på induktionsaxiomet (eller induktionssatsen som den också kallas) Den säger: Om A är en godtycklig delmängd av de naturliga talen N som uppfyller:
-för det första att 1 tillhör A
-för det andra att: k tillhör A medför att k+1 också tillhör A
Då gäller att A=N.
Låt mig visa ett självklart exempel: Visa att 5n är ett udda tal dvs att det kan skrivas som 2m+1
Först låter vi n=1 som ger 5n = 5 =2*2+1 (här är alltså m=2)
Sedan kommer induktionsantagandet: Antag att påståendet är sant för n=k dvs 5k = 2m+1 för något m
Därefter kommer "induktionssteget", dvs att visa att då är påståendet också sant för n=k+1. Vi har 5k+1 = 5*5k =5(2m+1)=10m+5=10m+4+1=2(5m+2)+1 =2q+1 där q är heltalet 5m+2.
Slutligen ser vi nu att induktionssatsens båda krav är uppfyllda och får då med hänvisning till denna sats dra slutsatsen att 5n är udda för alla n.
Tomten skrev:Fram t o m den tredje raden är jag med, men sedan kan jag inte se vad som händer. Om vi tittar t ex på potenserna av 5 har vi i tredje raden 52 52k+1 = 25*52k+1 och i fjärde raden tre likadana termer 52(k+1) dvs 3*52(k+1) = 3*52k+2 =3*5*52k+1 =15*52k+1 så dessa stämmer inte. Dessutom: det som du får utgå från är induktionsantagandet att 52k+1 -3 2k+1 -22k+1 = 30*m alltså med potensen 2k+1 -inte något med potensen 2(k+1) för det är inte samma sak.
En tredje sak ligger mera i logiken/layouten. Ditt bevis ska ju bygga på induktionsaxiomet (eller induktionssatsen som den också kallas) Den säger: Om A är en godtycklig delmängd av de naturliga talen N som uppfyller:
-för det första att 1 tillhör A
-för det andra att: k tillhör A medför att k+1 också tillhör A
Då gäller att A=N.
Låt mig visa ett självklart exempel: Visa att 5n är ett udda tal dvs att det kan skrivas som 2m+1
Först låter vi n=1 som ger 5n = 5 =2*2+1 (här är alltså m=2)
Sedan kommer induktionsantagandet: Antag att påståendet är sant för n=k dvs 5k = 2m+1 för något m
Därefter kommer "induktionssteget", dvs att visa att då är påståendet också sant för n=k+1. Vi har 5k+1 = 5*5k =5(2m+1)=10m+5=10m+4+1=2(5m+2)+1 =2q+1 där q är heltalet 5m+2.
Slutligen ser vi nu att induktionssatsens båda krav är uppfyllda och får då med hänvisning till denna sats dra slutsatsen att 5n är udda för alla n.
Hej, jag sitter med samma uppgift som behemoth faktiskt och har också fastnat på den. Jag antog som du skriver att uttrycket kan skrivas som 30*m för alla heltal m men behöver man något basfall eller kan man utesluta det? Sen är jag fastnat på mitt induktionssteg
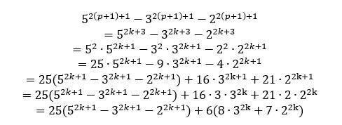
5^{2n+1}-3^{2n+1}-2^{2n+1}
= 5^{2(k+1)+1}-3^{2(k+1)+1}-2^{2(k+1)+1}
= 5^{2k+3}-3^{2k+3}-2^{2k+3}\\
= 5^{2}5^{2k+1}-3^{2}3^{2k+1}-2^{2}2^{2k+1} \\
= 5^{2}* 30m- 3^{2}* 30m - 2^{2}* 30 m \\
=30(5^{2}m-3^{2}m-2^{2}m) \equiv 0 (mod 30).
Vet att rad = 5^{2}* 30m- 3^{2}* 30m - 2^{2}* 30 m \\ är helt fel men jag vet inte hur jag ska ta mig tillväga efter jag brutit ut kvadraterna.
1. Det räcker med att ett tal kan skrivas 30*m för NÅGOT heltal m för att talet ska vara delbart med 30. Alltså INTE ALLA m, för det är omöjligt t o m för tal som är delbara med 30.
2. Det är hela uttrycket (52k+1 -3 2k+1 -22k+1 ) som kan skrivas 30m. Det beror på att det är så induktionsantagandet ser ut i uppgiften. Du har satt varje term för sig = 30m, vilket inte behöver vara sant. T ex kan 52k+1 aldrig bli delbart med 30 eftersom det enbart innehåller faktorer av talet 5.
3. Det är inte alls konstigt att ni fastnar på den här uppgiften. Det konstiga tycker jag är att en sådan uppgift alls ges. I stora drag innehåller den ju bara en massa råräkning, nästan som om målet var att ni skulle fastna. Vill man lära ut att bevisa med induktion får man väl försöka visa hur logiken bakom och de olika stegen ser ut, vilket jag försökte ovan.
Ska kika på denna imorgon men kanske lättare om ni visar det delbarhet med 2,3 och 5?
Stuart skrev:Ska kika på denna imorgon men kanske lättare om ni visar det delbarhet med 2,3 och 5?
Jo, fick lite tips ifrån Jullan om hur man kan komma vidare, och det var att bevisa att en term är delbar med 5.

Den första termen är ju med i uppgiften, så den vet vi är delbar med 30. Den andra termen är delbar med 5, vet dock inte hur jag ska bevisa det på enklast sätt? Räcker väl inte att bara att räkna ut med två-tre olika n och sedan att se att dom talen går att räkna i mod 5?
Men genom att visa att den termen är delbar med 5, varför visar det att talet är delbart med 30? Hänger inte riktigt med på det.
När jag gör det kommer jag till samma fram t o m den fjärde raden. Sedan för slumpen mig en lite annan väg. Låt A vara uttrycket i din fjärde rad. A= (21+4)52k+1 -(5+4)32k+1 -4*22k+1 =21*52k+1 -32k+1 +4(52k+1 -3 2k+1 -22k+1 ) =21*52k+1 -32k+1 +30m =21*5*52k -5*3*32k +30m=15(7*52k -32k )+30m =B+30m.Det räcker nu att visa att parentesen i uttrycket B är jämn. Men det är lätt ty första termen innehåller bara faktorerna 7 och 5 alltså inte faktorn 2 och är därför udda. Andra termen innehåller bara faktorer 3 och är således udda. Differensen mellan två udda tal är alltid jämn, varför alltihop är delbart med 30. Bev
Tomten skrev:När jag gör det kommer jag till samma fram t o m den fjärde raden. Sedan för slumpen mig en lite annan väg. Låt A vara uttrycket i din fjärde rad. A= (21+4)52k+1 -(5+4)32k+1 -4*22k+1 =21*52k+1 -32k+1 +4(52k+1 -3 2k+1 -22k+1 ) =21*52k+1 -32k+1 +30m =21*5*52k -5*3*32k +30m=15(7*52k -32k )+30m =B+30m.Det räcker nu att visa att parentesen i uttrycket B är jämn. Men det är lätt ty första termen innehåller bara faktorerna 7 och 5 alltså inte faktorn 2 och är därför udda. Andra termen innehåller bara faktorer 3 och är således udda. Differensen mellan två udda tal är alltid jämn, varför alltihop är delbart med 30. Bev
Jag markerade en femma som jag är osäker på vart den kom ifrån?
och tack för all hjälp! Är inte helt med på noterna om varför det räcker att bevisa att "B" är är jämn.. Ser vad du menar när du förklarar i ditt exempel, men försöker applicera samma tänk på min uträkning. Den första termen innehåller 8 och 3, och andra termen är 7 och 2. Första är alltid jämn andra lika så, då multiplar av jämna och udda tal alltid är jämna. Samma resonemang gäller för hela faktorn i stort, den kommer alltid att vara jämn. Men hur kan jag resonera sen? Ser inte hur detta hjälper mig..
Fick tips om att räkna med med modulo 5, men det är ju inget bevis?
Jag ser att utskriften blev lite konstig med bl a femman som du markerat. Försöker igen: ....... A= (21+4)52k+1 -(5+4)32k+1 -4*22k+1 =21*52k+1 -5*32k+1 +4(52k+1 -32k+1 -22k+1 ) =(sista parentesen =30m enl induktionsantagandet)= 5*7*3*52k -5* 3*32k +30m =15(7*52k-32k)+30m ...... och därefter samma resonemang som ovan.
Tomten skrev:Jag ser att utskriften blev lite konstig med bl a femman som du markerat. Försöker igen: ....... A= (21+4)52k+1 -(5+4)32k+1 -4*22k+1 =21*52k+1 -5*32k+1 +4(52k+1 -32k+1 -22k+1 ) =(sista parentesen =30m enl induktionsantagandet)= 5*7*3*52k -5* 3*32k +30m =15(7*52k-32k)+30m ...... och därefter samma resonemang som ovan.
Själva uträkningen är jag med på, men är resonemanget "Det räcker nu att visa att parentesen i uttrycket B är jämn. Men det är lätt ty första termen innehåller bara faktorerna 7 och 5 alltså inte faktorn 2 och är därför udda. Andra termen innehåller bara faktorer 3 och är således udda. Differensen mellan två udda tal är alltid jämn, varför alltihop är delbart med 30", jag inte är helt med på.. Jag försöker få ihop det med min uträkning där läraren sa att jag kunde räkna med modulo 5 och bevisa det på så vis.
Jag har som jag vet är delbart med 5 för varje k, men varför bevisar det att talet är delbart med 30? Samma med din uträkning, vad bevisar du genom att visa att uttrycket B är jämnt?
Om du kan bevisa att ditt uttryck innehåller faktorn 5, så kan din parentes skrivas 5* m dvs ditt uttryck kan skrivas 6*5*m =30m och beviset är klart. I mitt fall visar jag att motsvarande parentes är ett jämnt tal, dvs innehåller faktorn 2 och på så sätt får jag 30m som du.
Tomten skrev:Om du kan bevisa att ditt uttryck innehåller faktorn 5, så kan din parentes skrivas 5* m dvs ditt uttryck kan skrivas 6*5*m =30m och beviset är klart. I mitt fall visar jag att motsvarande parentes är ett jämnt tal, dvs innehåller faktorn 2 och på så sätt får jag 30m som du.

Så skrev jag för att avsluta mitt bevis :)
Tack så jättemycket för all hjälp!!
Jag förstår inte andra raden i din uträkning. Vart tar termen 8*32k vägen?
Tomten skrev:Jag förstår inte andra raden i din uträkning. Vart tar termen 8*32k vägen?
Ah, trodde att det var tydligt att jag räknade i mod 5. Men ser att det inte var så tydligt som jag trodde :p
och , samma resonemang med det andra termen.