Vad är det för linje du har ritat?
Kan det tross vara en tangent och en normal till kurvan?
Grafen till samt en tangent till denna med tangeringspunkt i första kvadraten. Tangenten skär även grafen i en punkt i andra kvadranten.
OK.
Börja med att ta fram ekvationen för tangenten. Se sedan var den skär kurvan i andra kvadranten.
Yngve skrev:OK.
Börja med att ta fram ekvationen för tangenten. Se sedan var den skär kurvan i andra kvadranten.
Jag har bestämt tangentens ekvation uttrycket i a
Man vet att tangeringspunkter har koordinaterna (a,) och skärningspunkten har koordinaterna (b,).
Sätt in de föreslagna x och y för skärningspunkten och se om det stämmer.
Laguna skrev:Sätt in de föreslagna x och y för skärningspunkten och se om det stämmer.
Menar du så?
Vad säger uppgiften att du ska visa?
Laguna skrev:Vad säger uppgiften att du ska visa?
att visa
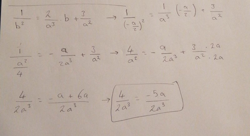
Pröva då att ersätta b med -a/2 i din ekvation (se bild).
- Om den stämmer så har du visat att sambandet mellan a och b gäller.
- Om ekvationen inte stämmer så har du visat att sambandet inte gäller.

Yngve skrev:Pröva då att ersätta b med -a/2 i din ekvation (se bild).
- Om den stämmer så har du visat att sambandet mellan a och b gäller.
- Om ekvationen inte stämmer så har du visat att sambandet inte gäller.

Det finns ett fel i dina uträkningar och det är bra träning för dig att försöka hitta det.
Gå igenom dina uträkningar igen, steg för steg. Ta inte för stora tankesteg i huvudet och håll för nästa steg med ett papper tills du formulerat vad som borde stå där.
Yngve skrev:Det finns ett fel i dina uträkningar och det är bra träning för dig att försöka hitta det.
Gå igenom dina uträkningar igen, steg för steg. Ta inte för stora tankesteg i huvudet och håll för nästa steg med ett papper tills du formulerat vad som borde stå där.
Jag har fixat felet, hur ska fortsätta?
Nu har du introducerat ett annat fel.
Kontrollera igen.
Yngve skrev:Nu har du introducerat ett annat fel.
Kontrollera igen.
Jag ser inte felet
Yngve skrev:Pröva då att ersätta b med -a/2 i din ekvation (se bild).
- Om den stämmer så har du visat att sambandet mellan a och b gäller.
- Om ekvationen inte stämmer så har du visat att sambandet inte gäller.
Bilden är fel den måste vara som jag skrev i #6
OK då är du klar.
Du har visat att om b = -a/2 så ligger punkten (b, 1/b2) på tangentten.
Yngve skrev:OK då är du klar.
Du har visat att om b = -a/2 så ligger punkten (b, 1/b2) på tangentten.
Behöver man skriva någonting mer eller det räcker så?
Det beror på.hur uppgiften är formulerad, nen jag tycker att det borde räcka bra att du förklarar din hypotes och sedan visar att den stämmer med hjälp av uträkningar.
