3
svar
142
visningar
Visa att
Frågan:
Undrar om jag har löst frågan på ett korrekt sätt?



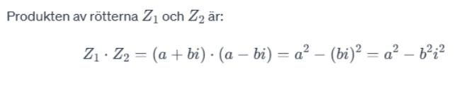
Ser krångligt ut. P och q är rötternas summa med ombytt tecken och q är rötternas produkt. Sätt in a+bi resp a-ni i det och förenkla.
Är det bättre nu?
Ser bra ut.