Visa gärna vad du har gjort för arbete på uppgiften så hjälper vi utifrån det!
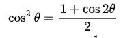
Hej jag försökte byta ut 1 mot trigonometriska ettan men jag kommer inte längre än så
Jag bytte även ut HL mot 0 (enligt formelblad)
Kvadrera båda sidor och se om du kommer vidare sedan.
Varför skulle du sätta högerledet till 0?
Jag testade kvadrera men min lärare sa att man inte får göra så då vi inte får utgå från det som står utan vi ska bevisa det? Lite oklart men jag tror hon menar att man inte får ”leka” med båda leden då man inte får utgå från att det stämmer utan man ska bevisa?
Kan du utnyttja följande?

NC.a skrev:Jag testade kvadrera men min lärare sa att man inte får göra så då vi inte får utgå från det som står utan vi ska bevisa det? Lite oklart men jag tror hon menar att man inte får ”leka” med båda leden då man inte får utgå från att det stämmer utan man ska bevisa?
Visst får du göra det, t o m om det känns som att leka. Om du kommer fram till något får du se till att alla steg du har tagit fungerar åt båda hållen.
Du behöver inte ens visa läraren att du började med att kvadrera.
Hej tack för hjälpen jag löste det👍🏼
