Visa att det går mot 0

Här försökte jag visa!

Edit: Jag vet inte vad , är egentligen och om det skiljer sig från .
Note: Fattar inte heller om de vill att jag ska få fram integralen (alltså Fx(a,b) och Fy(a,b)). Kom ihåg att Fx'(a,b) = A (alltså partiella, antar jag, derivatan m.a.p på x-axeln)
Kan vara skrivfel. fx(a,b) är inget vettigt i detta sammanhang. SKall det inte stå f'x(a,b) som sedan står i kvoten?
Trinity2 skrev:Kan vara skrivfel. fx(a,b) är inget vettigt i detta sammanhang. SKall det inte stå f'x(a,b) som sedan står i kvoten?
Jag hänger inte med, gör den inte det? f'x(a,b) är med i ekvationen hehe.
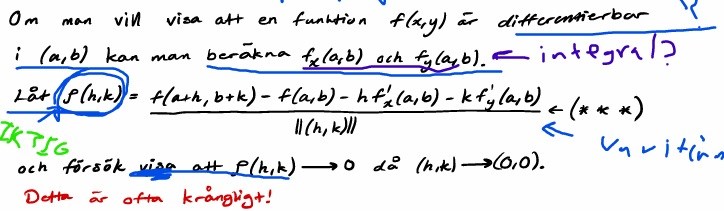
Jag menade detta

Trinity2 skrev:Jag menade detta
Aa det var det jag tänkte också, den kom från ingenstans liksom och de använde den inte heller i det i beviset nedan. Jag tror du ha rätt. Men har jag tänkt rätt för han skrev ju också "Detta är ofta krångligt"
I ditt försök att visa så förstår jag inte riktigt vad det är du försöker visa (och man får inte skriva utan det är odefinierat). När det står "försök visa att..." i instruktionerna så handlar det om någon given funktion, t.ex. kan uppgiften vara "visa att är differentierbar". Då räknar man ut gränsvärdet med denna funktion, och försöker visa att det är noll. När du har skrivit här så verkar du inte ha någon specifik funktion du tänker på.
Med avseende på notationen har jag sett både och användas för precis samma sak av olika lärare och böcker, så jag tror att det bara är ett skrivfel.
Mattetjejn skrev:I ditt försök att visa så förstår jag inte riktigt vad det är du försöker visa (och man får inte skriva utan det är odefinierat). När det står "försök visa att..." i instruktionerna så handlar det om någon given funktion, t.ex. kan uppgiften vara "visa att är differentierbar". Då räknar man ut gränsvärdet med denna funktion, och försöker visa att det är noll. När du har skrivit här så verkar du inte ha någon specifik funktion du tänker på.
Med avseende på notationen har jag sett både och användas för precis samma sak av olika lärare och böcker, så jag tror att det bara är ett skrivfel.
Aha så det går inte att visa att , utan att ha en funktion att utgå från?
Ja, precis. Det är det som avses här. Du har en given funktion och vill visa att den är differentierbar i (a, b).
PATENTERAMERA skrev:Ja, precis. Det är det som avses här. Du har en given funktion och vill visa att den är differentierbar i (a, b).
Jaha det visste inte jag lol. Aha men då var vi klara här tror jag hehe!
