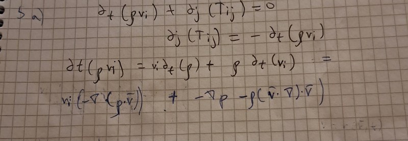
Visa att dt(rhovi)+dj(Tij)=0

Hej!
Jag har fastnat på sista raden. Vet inte om mitt försök ser rätt ut ens
Jo det är rätt, tror jag. Fortsätt med indexnotation.
PATENTERAMERA skrev:Jo det är rätt, tror jag. Fortsätt med indexnotation.
Du menar att jag ska tillämpa indexnotation på sista raden?
Ja. Ett tips är även att .
PATENTERAMERA skrev:Ja. Ett tips är även att .
Hm jag förstår inte riktigt. Såhär fick jag med index. Jag vet inte om p och rho ska ha index

I första termen förekommer samma index tre gånger. Något har gått fel. Korrigera.
Sedan kan du kombinera första och sista termen för att få (någonting),j.
Sedan använder du tipset i #4.
PATENTERAMERA skrev:I första termen förekommer samma index tre gånger. Något har gått fel. Korrigera.
Sedan kan du kombinera första och sista termen för att få (någonting),j.
Sedan använder du tipset i #4.

I första termen så är j fritt index. Det kan inte vara rätt eftersom i är fritt index i de andra termerna.
Första termen bör vara -vidj(vj).
PATENTERAMERA skrev:I första termen så är j fritt index. Det kan inte vara rätt eftersom i är fritt index i de andra termerna.
Första termen bör vara -vidj(vj).
Om jag förstår dig rätt ska man låta bli att sätta i på första termen mer än en gång och sätta in andra index tex i om i är fritt index?
Ja. Det bör vara samma fria index hos alla termer i en tensorekvation. Annars får man problem.
PATENTERAMERA skrev:Ja. Det bör vara samma fria index hos alla termer i en tensorekvation. Annars får man problem.

Ok. Då hoppas jag att det här stämmer. Vi har ju samma fria index på hela ekvationen
Försök att kombinera de inringade termerna för att få dj(någonting).

PATENTERAMERA skrev:Försök att kombinera de inringade termerna för att få dj(någonting).
Det enda jag kunde göra var detta nedan. Jag vet inte om det är någon sorts kombination

Nja, .
PATENTERAMERA skrev:Nja, .
Jag tror inte jag ser detta i någon av mina steg. Var ser du?
destiny99 skrev:PATENTERAMERA skrev:Nja, .
Jag tror inte jag ser detta i någon av mina steg. Var ser du?
Jag kombinerar de termer som jag ringade in tidigare.
PATENTERAMERA skrev:destiny99 skrev:PATENTERAMERA skrev:Nja, .
Jag tror inte jag ser detta i någon av mina steg. Var ser du?
Jag kombinerar de termer som jag ringade in tidigare.
Men jag hänger inte med nu. Jag kom fram till det här i #12
Se de termer som jag ringade in i #12.
PATENTERAMERA skrev:Se de termer som jag ringade in i #12.
Jag tror inte jag förstår vad du vill säga med dem. Jag pratar om vad jag ska göra med det här efteråt. Uttrycket längst ned.

Backa tillbaka till innan du utvecklat och kombinera de termer som jag ringade in på det sätt som jag hintade om.
PATENTERAMERA skrev:Backa tillbaka till innan du utvecklat och kombinera de termer som jag ringade in på det sätt som jag hintade om.
Ja jag såg det men är rho konstant för det verkar fokuseras på att man deriverar vj först och sen vi men rho är ändå med ? En annan sak som jag undrar över är om &ij är typ Tij då den är också 1 om i=j , 0 annars? När jag kombinerar allt så får jag detta nedan.

Ja, det ser rätt ut. Så Tij = .
PATENTERAMERA skrev:Ja, det ser rätt ut. Så Tij = .
Hur vet man att det är så?
Jämför det som du kom fram till med det som du skulle visa.
Du skulle visa att det finns någonting så att dt(rhovi) + dj(någonting) = 0.
Du har visat att dt(rhovi) = -dj(någonting). Jämför och dra slutsats.
PATENTERAMERA skrev:Jämför det som du kom fram till med det som du skulle visa.
Du skulle visa att det finns någonting så att dt(rhovi) + dj(någonting) = 0.
Du har visat att dt(rhovi) = -dj(någonting). Jämför och dra slutsats.
Ja det har du helt rätt i. Då är den där någonting innanför parentesen =Tij . Jag visste dock inte att kroneckerdelta är en tensormatris
Två index så en andra ordningens tensor.
PATENTERAMERA skrev:Två index så en andra ordningens tensor.
Aa ok. Tack för info
Om en tensor T har komponenterna i ett Kartesiskt koordinatsystem så har den komponenterna i varje Kartesiskt koordinatsystem.
Dvs om i ett (oprimmmat) Kartesiskt koordinatsystem så är i ett annat (primmat) Kartesiskt koordinatsystem.
Övning: Visa att så är fallet.
PATENTERAMERA skrev:Om en tensor T har komponenterna i ett Kartesiskt koordinatsystem så har den komponenterna i varje Kartesiskt koordinatsystem.
Dvs om i ett (oprimmmat) Kartesiskt koordinatsystem så är i ett annat (primmat) Kartesiskt koordinatsystem.
Övning: Visa att så är fallet.
Denna övning är utanför tråden. Men om liknande fråga dyker upp på en tenta fråga så gör jag ny tråd om detta. Min gissning är att man använder den där T'ij=Lik&kLjl&l som vi gjorde i en annan tråd.
Ja, bra början.