7 svar
207 visningar
EulerWannabe behöver inte mer hjälp
EulerWannabe 189
Postad: 3 apr 2021 20:49 Redigerad: 3 apr 2021 20:56

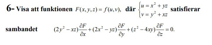
Visa att en funktion satisfierar differentialekvation.

Hej! Tänkte om någon kan hjälpa mig lite med en uppgift om partiella derivator.

Jag har fått fram:

du/dx = 2x

dv/dy = 2y

dv/dx = du/dy = z

Vilket ger...

df/dx = df/du*2x + df/dv*z

df/dy = df/du*z + df/v*2y

df/dz = df/du*y + df/dv*x

Sen är jag osäker på hur jag ska fortsätta. Jag noterar att u och v ser likadana ut fast omvända x och y. Så de ser symmetriska ut. Kanske ska man utnyttja det?

Bedinsis 3343
Postad: 3 apr 2021 21:15

Du kan ju ta fram uttryck för Fx,Fy,Fzdå dessa ingår i sambandet.

EulerWannabe 189
Postad: 3 apr 2021 21:21

Egentligen det jag försökt göra men kanske klantat mig för det är skillnad på stora F och lilla f?

PATENTERAMERA Online 7822
Postad: 3 apr 2021 21:34

Använd kedjeregeln:

Fx=fuux+fvvx
Fy=fuuy+fvvy
Fz=fuuz+fvvz

EulerWannabe 189
Postad: 3 apr 2021 21:45

Så där har jag gjort. Är det bara algebra sen? För jag är lite fast där.

EulerWannabe 189
Postad: 3 apr 2021 21:57

EulerWannabe 189
Postad: 4 apr 2021 02:23

Jag har nu multiplicerat och strukit bort lite termer och faktoriserat och kommit fram till att det verkar bli

df/dv * (g(x)) - df/du * (g(x))

Innebär detta att det blir 0?

Micimacko 4136
Postad: 4 apr 2021 07:41

Du borde få 0 när du stoppat in och förenklat allt. Kolla igenom dF/dy, du verkar ha bytt plats på u och v.

Svara
Close