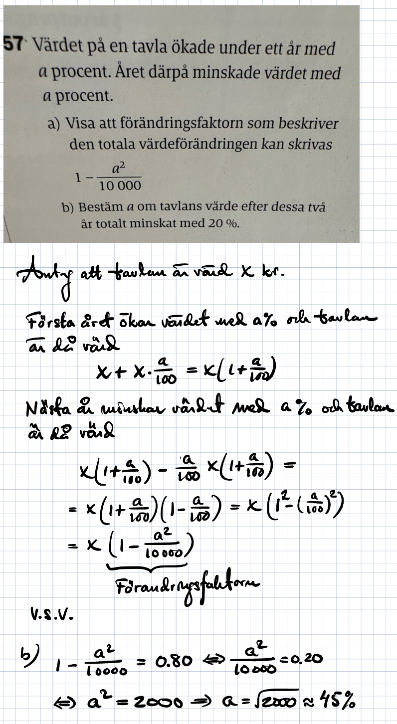
Visa att en uträkning stämmer
Hej!
jag har försökt lösa fråga a ett litet tag nu, och känner ärr jag är nära en lösning, men inte riktigt där än. Hade behövt lite hjälp med den sista lilla biten för att se vad jag gjort fel…


Om tavlan ursprungligen var värd V kr. Kan du teckna ett uttryck för värdet efter 1 år med hjälp av din förändringsfaktor och V? Hur ser det ut efter 2 år?
Saken är den att jag itne riktigt vet hur jag ska skriva a% som en förändringsfaktor när det ökar med a%. a% i bråkform är ju a/100. men man vill ju ha dit en etta så att det liksom blir
1,(a/100) Detta är ju ingen rimlig matematisk metod men hopaps du förstår vad jag menar att jag vill få fram.
Sedan som förändrignsfaktor för när det minskar med a% inser jag nu att förändringsfaktorn borde vara 1-(a/100) så nu förstår jag var "1-" delen kommer ifrån. men jag vet fortfarande inte hur jag ska skriva ökningen som ett bråk...
Visa spoiler

KlmJan skrev:Saken är den att jag itne riktigt vet hur jag ska skriva a% som en förändringsfaktor när det ökar med a%. a% i bråkform är ju a/100. men man vill ju ha dit en etta så att det liksom blir
1,(a/100) Detta är ju ingen rimlig matematisk metod men hopaps du förstår vad jag menar att jag vill få fram.
Sedan som förändrignsfaktor för när det minskar med a% inser jag nu att förändringsfaktorn borde vara 1-(a/100) så nu förstår jag var "1-" delen kommer ifrån. men jag vet fortfarande inte hur jag ska skriva ökningen som ett bråk...
Jättebra! Du kan knappt komma närmare utan att lösa den. Trinity2 använde x istf V. Du kan konjugatregeln: (a+b)(a-b)=a2-b2 ?
Ser du likheten?