Visa att enheten är m

Kommer inte vidare efer dessa har både testat rörelsemängden med enheterna kgm/s och js/m
(kom också precis på att jag borde skrivit kg istället för M) Det tar mig dock inte vidare
Bilderna är väldigt suddiga, det går knappt att se vad det står även om man förstorar.
Kan du ladda upp skarpare bilder?
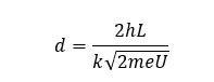
Vad är ekvation 8? Vilka storheter står beteckningarna för?
Yngve skrev:Bilderna är väldigt suddiga, det går knappt att se vad det står även om man förstorar.
Kan du ladda upp skarpare bilder?


Pieter Kuiper skrev:Vad är ekvation 8? Vilka storheter står beteckningarna för?

h är plancks konstant och L står för en längd
d står för gitter konstanten och m för meter, är dock lite osäker på e
Tillägg: 5 jan 2023 19:11
antar att det är elementarladdningen
Ekvationen var fel, det var tydligen ett tryckfel. Så här ska den vara:

Jag har försökt få den till meter men får meter i kvadrat.
