Visa att f är kontinuerlig och f' är kontinuerlig
.jpg?width=800&upscale=false)
.jpg?width=800&upscale=false)
Hej!
Jag förstår inte varför jag fått fel på a) uppgiften eller kommentarer på den. Jag använde ju instängningssatsen för att resonera mig om f är kontinuerlig eller inte. Samma sak i b) uppgiften fick jag kommentarer och det är säkert något fel jag gjort där som jag inte riktigt ser.
Du kan inte rakt av sätta när du beräknar gränsvärdet. Det du kan göra är att konstatera att eftersom är begränsad och då , så måste då . Således måste .
Tillägg: 6 nov 2024 14:30
För att förtydliga, så säger vi alltså att eftersom och både och går mot då , så måste alltså p.g.a. instängning.
Gustor skrev:Du kan inte rakt av sätta när du beräknar gränsvärdet. Det du kan göra är att konstatera att eftersom är begränsad och då , så måste då . Således måste .
Men hur formulerar man detta mha instängning?
Lade till ett förtydligande i mitt förra inlägg.
Gustor skrev:Lade till ett förtydligande i mitt förra inlägg.
Jaha det är såhär man ska uttrycka sig med instängningssatsen. Då förstår jag! Men om x^2cos(1/x) går mot 0 => pga instängning. Hur blir det med 3x? Ska man undersöka gränsvärde för den separat ? Man kan ju se att då x=>-+0 så går 3x mot 0 också.
Du kan använda att förutsatt att dessa existerar och är ändliga (och att och är definierade på något öppet intervall innehållande ). Du har säkert sett detta tidigare.
Gustor skrev:Du kan använda att förutsatt att dessa existerar och är ändliga (och att och är definierade på något öppet intervall innehållande ). Du har säkert sett detta tidigare.
Nja jag minns inte och jag vet inte vad du menar med om jag har sett dettta tidigare. Påminn mig gärna! Varför skriver du gränsvärde sättet som du gör det på? Är det en regel för hur man beräknar gränsvärde för addition av två funktioner? Är det öppna intervallet (0,inf)?
Det finns några räknelagar för gränsvärden som brukar kallas gränsvärdeslagar eller limit laws. Lagen för summor säger att om och , så är
.
Till exempel är .
Det finns även lagar för produkt/kvot som under samma förutsättningar säger att
och
().
Det kan vara bra att repetera detta.
Min poäng var att när du visat att går mot , så går hela funktionen mot eftersom
.
Gustor skrev:Det finns några räknelagar för gränsvärden som brukar kallas gränsvärdeslagar eller limit laws. Lagen för summor säger att om och , så är
.
Till exempel är .
Det finns även lagar för produkt/kvot som under samma förutsättningar säger att
och
().
Det kan vara bra att repetera detta.
Min poäng var att när du visat att går mot , så går hela funktionen mot eftersom
.
Ok så det kan vara bra att använda limits law i samband med instängningssatsen som du gjorde för att komma fram till att f(x) går mot 0 då x=>0 om man inte ser detta från början? Tror du detta hade varit en bra motivering på en tenta att nämna limits law för att konstatera att f(x)+g(x) går mot 0 ?
Kan vi även titta på b) uppgiften som det knasade också?
Nej, gränsvärdeslagarna har inget med instängningen att göra i detta fall. Jag svarade på din fråga om "Hur blir det med 3x?".
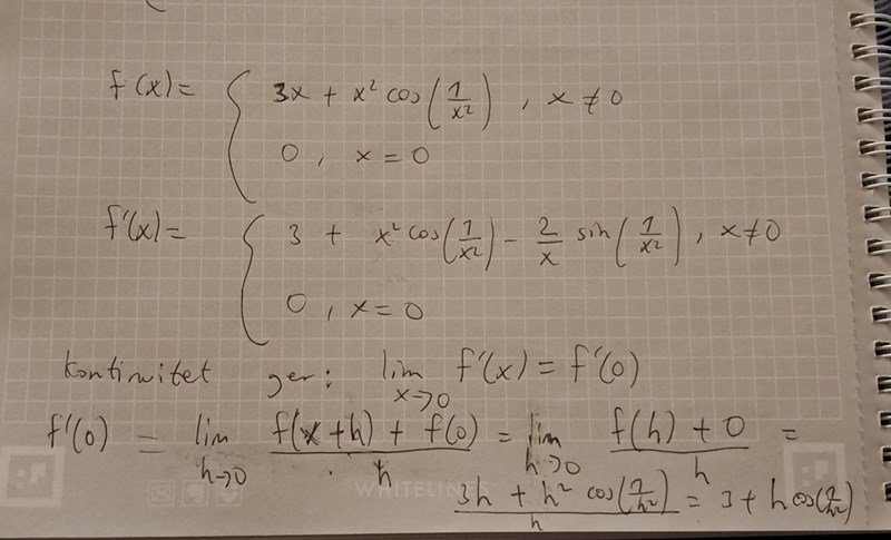
På b), så är frågan om är kontinuerlig. Notera att enligt derivatans definition är
. Jag skriver inte ut det, men här använder jag instängning för att konstatera att då .
För att ska vara kontinuerlig i måste . Stämmer det? Existerar detta gränsvärde?
Gustor skrev:Nej, gränsvärdeslagarna har inget med instängningen att göra i detta fall. Jag svarade på din fråga om "Hur blir det med 3x?".
På b), så är frågan om är kontinuerlig. Notera att enligt derivatans definition är
. Jag skriver inte ut det, men här använder jag instängning för att konstatera att då .
För att ska vara kontinuerlig i måste . Stämmer det? Existerar detta gränsvärde?
Okej jag menade inte att instängningen har med gränsvärdelagarna att göra. Jag tänkte bara att man motiverar med instängningslagen tillsammans med gränsvärde lagarna så att det blir tydligt att man använt sig av båda för att motivera sitt svar.
Gällande b) frågan förstår jag inte dina tankegångar. Jag kan inte svara på dina sista frågor då jag är inte helt säker på denna fråga. Men vi får ju gränsvärdet till 3 så jag vet inte vad det innebär. sen har vi inte tittat på vänster och höger derivata?
Okej jag menade inte att instängningen har med gränsvärdelagarna att göra. Jag tänkte bara att man motiverar med instängningslagen tillsammans med gränsvärde lagarna så att det blir tydligt att man använt sig av båda för att motivera sitt svar.
Ja, instängning är det huvudsakliga argumentet varför då och således att är kontinuerlig i . Räknelagarna för gränsvärden är inget man brukar behöva motivera, annat än när man lär sig om dem för första gången. Det antas att du använder dig av dem i uppgifter som denna.
Att är kontinuerlig för följer av att uttrycket för består av elementära funktioner som alla är kontinuerliga. Denna motivation krävs för att dra slutsatsen att är kontinuerlig överallt.
Gällande b) frågan förstår jag inte dina tankegångar. Jag kan inte svara på dina sista frågor då jag är inte helt säker på denna fråga. Men vi får ju gränsvärdet till 3 så jag vet inte vad det innebär. sen har vi inte tittat på vänster och höger derivata?
Vad är det du inte förstår? Jag använder derivatans definition för att bestämma . Det stämmer alltså inte att , som du skrev i ditt ursprungliga svar. Detta trots att det i definitionen av funktionen står .
En funktion är kontinuerlig i en punkt om . Det är denna definition jag använder i min sista mening. För att ska vara kontinuerlig i måste alltså .
Gustor skrev:Okej jag menade inte att instängningen har med gränsvärdelagarna att göra. Jag tänkte bara att man motiverar med instängningslagen tillsammans med gränsvärde lagarna så att det blir tydligt att man använt sig av båda för att motivera sitt svar.
Ja, instängning är det huvudsakliga argumentet varför då och således att är kontinuerlig i . Räknelagarna för gränsvärden är inget man brukar behöva motivera, annat än när man lär sig om dem för första gången. Det antas att du använder dig av dem i uppgifter som denna.
Att är kontinuerlig för följer av att uttrycket för består av elementära funktioner som alla är kontinuerliga. Denna motivation krävs för att dra slutsatsen att är kontinuerlig överallt.
Gällande b) frågan förstår jag inte dina tankegångar. Jag kan inte svara på dina sista frågor då jag är inte helt säker på denna fråga. Men vi får ju gränsvärdet till 3 så jag vet inte vad det innebär. sen har vi inte tittat på vänster och höger derivata?
Vad är det du inte förstår? Jag använder derivatans definition för att bestämma . Det stämmer alltså inte att , som du skrev i ditt ursprungliga svar. Detta trots att det i definitionen av funktionen står .
En funktion är kontinuerlig i en punkt om . Det är denna definition jag använder i min sista mening. För att ska vara kontinuerlig i måste alltså .
Aa okej jag förstår.
Men om lim x=>0 f'(x)=f'(0) för kontinuitet,måste alltså f'(0)=0 för att vi ska säga om f'(x) är kontinuerlig ? Har vi inte två fall då f'(0)=0 om man deriverar f(x)=0 i punkten x=0 samt andra funktionen 3x+ x^2cos(1/x^2) då lim x=>0+ ? vänster och höger derivata är olika i punkten x=0.
Att f(0)=0 betyder inte att f'(0)=0. Det var just det jag ville illustrera, genom att beräkna f'(0) enligt derivatans definition. Om en funktion är definierad i olika fall, som funktionen f(x) i denna uppgift, så kan man inte dra slutsatsen att f'(x) är lika med derivatan av uttrycken för f(x) på det sätt jag tror du tänker på.
Tänk till exempel på funktionen f(x) = x om x inte är 0, och f(0)=0. Derivatan av denna funktion i punkten 0 är inte 0, utan 1. Testa själv genom att använda derivatans definition.
Gustor skrev:Att f(0)=0 betyder inte att f'(0)=0. Det var just det jag ville illustrera, genom att beräkna f'(0) enligt derivatans definition. Om en funktion är definierad i olika fall, som funktionen f(x) i denna uppgift, så kan man inte dra slutsatsen att f'(x) är lika med derivatan av uttrycken för f(x) på det sätt jag tror du tänker på.
Tänk till exempel på funktionen f(x) = x om x inte är 0, och f(0)=0. Derivatan av denna funktion i punkten 0 är inte 0, utan 1. Testa själv genom att använda derivatans definition.
Jaha okej ja så för kontinuitet så gäller att f(x)=f(0) och i vårt fall fick vi fram att f(0)=0 i a) , medan för f'(x)=f'(0) vill vi se om det stämmer som för fallet i a) fast med derivatans definition så ser vi att det inte stämmer eftersom derivatans definition ger oss 3?
Huruvida f'(x) är kontinuerlig eller inte i beror på om . Detta brukar vara en vanlig definition av kontinuitet i en punkt.
Tillägg: 6 nov 2024 17:12
I uppgift a) så visar man att
och således att är kontinuerlig i .
Gustor skrev:Huruvida f'(x) är kontinuerlig eller inte i beror på om . Detta brukar vara en vanlig definition av kontinuitet i en punkt.
Tillägg: 6 nov 2024 17:12
I uppgift a) så visar man att
och således att är kontinuerlig i .
Jaha okej så det har ingenting med deriverbarhet att göra? Det man ska göra i b) är alltså kontinuitet som vi gjort i a) uppgiften?
Du ska ju beräkna vad derivatan är för alla värden på också I uppgift b).
Gustor skrev:Du ska ju beräkna vad derivatan är för alla värden på också I uppgift b).
Jo det vet jag. Men jag undrar nu i efterhand om man kan undersöka kontinuitet på det här sättet:
f'(x)= {3+2xcos(1/x^2)-2/x*sin(1/x^2), x skild från 0
0 , x=0
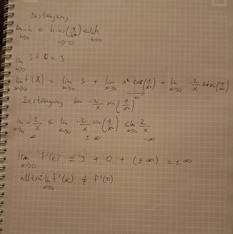
då ser vi att mha instängning för både cos och sin så kommer f'(0) gå mot 3 då x=>0 och f'(0)=0. f'(x) är inte kontinuerlig då för gränsvärde existerar ej.
Tillägg: 6 nov 2024 17:43
Med tanke på att frågan är värd 3 poäng så tror jag att den är svår. Du säger att vi ska derivera vilket jag håller med, men ska man enbart undersöka kontinuitet eller deriverbarhet också? Hur tolkar du?
Nej, det går inte att göra så.
f'(x) går inte mot 3 då x går mot 0, utan f'(0) är lika med 3. Det är detta som är hela kruxet med uppgift b).
Jag antar att du menar att gränsvärdet i definitionen av derivatan går mot 3. Ja, det är samma sak som att säga att .
Så återigen, är inte lika med .
Jag tror det kan vara bra för dig att repetera lite om begreppen derivata, kontinuitet och gränsvärde om du känner att det är svårt (menar detta i all vänlighet).
För att ska vara kontinuerlig I måste .
Tittar man på uttrycket du fått för då så ser man att termen kommer skjuta iväg mot oändligheten då närmar sig . De andra två termerna är begränsade, så på det hela så existerar inte gränsvärdet. Speciellt så är det inte lika med . Alltså är inte kontinuerlig i .
Gustor skrev:För att ska vara kontinuerlig I måste .
Tittar man på uttrycket du fått för då så ser man att termen kommer skjuta iväg mot oändligheten då närmar sig . De andra två termerna är begränsade, så på det hela så existerar inte gränsvärdet. Speciellt så är det inte lika med . Alltså är inte kontinuerlig i .
Så detta har med kontinuitet och deriverbarhet att göra i b)? Hur ska man börja ställa upp lösningen? Jag tycker det var enkelt i a) frågan och hängde med på det.
Det du just citerade är, enligt min mening, en mer eller mindre fullständig lösning på "Är f' kontinuerlig? Motivera ditt svar."
Gustor skrev:Det du just citerade är, enligt min mening, en mer eller mindre fullständig lösning på "Är f' kontinuerlig? Motivera ditt svar."


Jag löste på det sättet.
Att det för gäller att
betyder inte att . Du kan inte använda instängning på det sättet, för du vet inte om går mot , eller mot något annat. Alla gränsvärden är ju "instängda" mellan minus oändligheten och plus oändligheten.
Du behöver motivera varför inte existerar på något annat sätt.
I övrigt så ser ditt resonemang bra ut. Det står fortfarande att i början, och jag tror mittentermen i uttrycket för då ska vara , men det påverkar inte resonemanget.
Tillägg: 6 nov 2024 18:51
Tror även att det inte ska vara minus i sista termen i derivatan.
Gustor skrev:Att det för gäller att
betyder inte att . Du kan inte använda instängning på det sättet, för du vet inte om går mot , eller mot något annat. Alla gränsvärden är ju "instängda" mellan minus oändligheten och plus oändligheten.
Du behöver motivera varför inte existerar på något annat sätt.
I övrigt så ser ditt resonemang bra ut. Det står fortfarande att i början, och jag tror mittentermen i uttrycket för då ska vara , men det påverkar inte resonemanget.
Tillägg: 6 nov 2024 18:51
Tror även att det inte ska vara minus i sista termen i derivatan.
Jaha okej så instängning funkar bara om g(x) går mot 0 och inte annars? Nej men då vet jag inte hur man visar vad g(x) går mot då x=>0. Vi kan se att sin(1/x^2) oscillerar mellan -1 och 1 ,så -2/x<=2/xsin(1/x^2)<=2/x och när x går mot 0 så divergerar 2/xsin(1/x^2) mot oändligheten så gränsvärde existerar inte. Du säger att det står f'(0) =0 i början , var står det? Jag använde derivatans definition samt kontinuitet. Vad är fel att skriva? Jag skrev bara f'(x) som styckvis funktion.