Visa att f(x) har sitt största värde då x=e/2
Jag har fastnat på den här uppgiften. Vet ej hur jag ska tänka.
Mer än så kmr jag nt .. Hur ska jag vidare?
Bra början! Som du nog vet så söker vi för vilka x , här har du en kvot dock och när är ett bråk lika med noll? Jo när ....
Undrar du också över varför har derivatan 1/x?
Svaret på den frågan ligger egentligen i lagarna för logaritmer.
Om vi har så säger lagarna för logaritmerna att vi får skriva om det som men med derivata med avseende på x så är ju en konstant och stryks.
Ett bråk kan bli noll då täljaren är noll .
Dvs då 1-ln(2x)=0
-ln(2x)=1
ln(2x)=-1
Hur ska jag göra sen? Hur löser jag ekvationen?
Du har skrivit lite fel
Kommer du vidare då?
Hur kommer jag vidare?
Vilket värde har ln(1)?
Det är noll
Du kom till
ln(2x)=1
Sen blir det fel, ln kan inte "flyttas över".
Motsatsen till ln är "e upphöjt till":
Varför ska det bli 2x=e varför inte 2x=1?
Kolla potenslagarna igen
och oavsett vad a är.
Men varför förenklar programmen eln(2x) = 1
till 2x=e?
Läste fel
( Detta är en edit, vet inte hur man raderar ett svar :D )
Katarina149 skrev:Men varför förenklar programmen eln(2x) = 1
till 2x=e?
Titta igen på #8. HL är e^1 och inte 1.
Vi vill ju bli av men ln runt 2x. Och eftersom "e upphöjt till" är motsatsen till ln gör jag det i båda leden.
Man utnyttjar att
Och man gör lika i båda leden.
Aha du skriver alltså
ln(2x)=1
eln(2x) = e1
Varför är det fel att sedan skriva
2x= 1
eftersom e och ln tar ut varandra precis som du vet att
eftersom
Vilket betyder att
Som du ser tar 10 och lg ut varandra, detsamma gäller för e och ln.
Och vad är ?
Jo 10 eftersom något med exponent 1 alltid är enbart basen, så
, av den anledningen.
Katarina149 skrev:eln(2x) = e1
Varför är det fel att sedan skriva
2x= 1
I högerledet: e1 är inte lika med 1, det är lika med e
Jaha okej. Alltså blir det
eln(2x) =e1
2x=e
x=e/2
V.S.V
Nästan, men du har endast visat att vi har en extrempunkt då x=e/2. Nu måste du vissa att detta faktiskt är ett maximum.
Ska jag testa med andraderivatan?
f’(x)= (1-ln(2x))/x2
Hur kan jag derivera det här uttrycket igen? Ska jag använda kvotregeln?
Ja, du kan använda kvotregeln igen om du vill använda andraderivatan. Jag hade nog bara gjort en teckentabell,
Här har jag använt kvotregeln och därefter andra derivata och då fick jag att x=e/2 ger en negativ andra derivat alltså en maxpunkt . Är det rätt?
Principen är rätt men du har fått fel andraderivata.
Derivatan av ln(2x) är 1/2x * 2 = 1/x, ser ut om du missar inre derivatan. Minustecken framför saknas också.
Vänstra termen i täljaren blir -1/x*x^2=-x
Högra termen är också fel, du har ett extra "delat med x" under ln(2x) som inte ska vara där och 1:an saknas.
Högra termen blir -2x(1-ln(2x))
Hela täljaren blir -x + -2x(1-ln(2x)) = x(-1-2(1-ln(2x)) = x(-1-2+2ln(2x)) = x(2ln(2x) - 3)
x:et förkortas sen bort så det blir x^3 kvar i nämnaren.
f''(x) = (2ln(2x) - 3)/x^3
Kanske enklast att göra om deriveringen istf att leta fel.
Jag gör ett nytt försök
Ser att du delat upp det i två bråk och det går förstås bra men det är lite fel kvar.
Det är en extra 0,5 med i första termen som inte ska vara där.
Derivatan av ln(2x) ska vara 1/2x*2, du glömmer inre derivatan 2.
Programmeraren skrev:Ser att du delat upp det i två bråk och det går förstås bra men det är lite fel kvar.
Det är en extra 0,5 med i första termen som inte ska vara där.
Derivatan av ln(2x) ska vara 1/2x*2, du glömmer inre derivatan 2.
Vilken formel använder du när du deriverar f’(x)? Jag förstår inte hur du tänker när du deriverar. Själv skulle jag ha använt kvotregeln
Det är kvotregeln. Jag använde samma ordning som du gjorde i #21
Vart kommer den här tvåan ifrån? Jag använder också kvotregeln men jag får den där tvåan
Det här är vad jag får fram

Inre derivatan av ln(2x).
Man använder kedjeregeln "i huvudet".
Vänta nu hängde jag inte med. Vart exakt ska jag använda kedjeregeln?
Det är en funktion som du tar ln() av. Funktionen 2x.
Kedjeregeln:
h(x)=f(g(x))
h'(x)=f'(g(x)) * g'(x)
f(x)=ln(x)
f'(x)=1/x
g(x)=2x
g'(x)=2
h'(x)=f'(g(x)) * g'(x) = 1/g(x) * 2 = 1/(2x) * 2
Menar du att jag både ska derivera ln(2x) och 2x separat för sig och därefter enligt kedjeregeln multiplicera de med varandra?
Det här får jag
Bara kedjeregeln. Jag tog bara med alla detaljer, i praktiken deriverar men yttre och multiplicerar med inre.
Derivatan av ln är "1 genom" gånger inre derivatan
Exempel:
Derivatan av ln(2x) är 1/(2x) * 2
Derivatan av ln(x^3) är 1/x^3 * 3x^2 = 3/x
Men är det här rätt?
Nej, I #32/34 är det lite annat slarv. Men väldigt svårt att se vad alla strykningar är.
Bråkstrecket verkar bli kort och inte inkludera -x
2x till höger multipliceras bara med ena termen.
Gör sakta och jämför stegen med de jag gjorde i #25
Nästan. Det är -ln(2x) som felaktigt blir plus på 3:e raden.
Så i slutet är allt rätt förutom att det ska vara +2x*ln(2x) samt att du kan bryta ut ett x och förkorta bort.
Jag räknar ut f’(x) .. Men då får jag en hel annan derivata när jag deriverar f(x)
Täljaren på rad 2 stämmer inte. Första termen saknar den inre derivatan 2 och andra termen har en faktor 2x som inte ska vara där.
Du bör göra en tabell "faktaruta" över de ingående delarna så att du sedan kan plocka ihop uttrycket för derivatan på det sätt jag har visat dig tidigare:
Sätt f(x) = g(x)/h(x).
Då är enligt kvotregeln, f'(x) = (g'(x)h(x) - g(x)h'(x))/(h(x))2
====== Faktaruta =====
g(x) = ln(2x) ger att g'(x) = (1/2x)*2 = 1/x
h(x) = x ger att h'(x) = 1
====================
Plocka nu ihop uttrycket för f'(x) från de ovanstående faktarutan.
Det är rätt. Du kan bryta ut ett x ur täljaren och förkorta bort det.
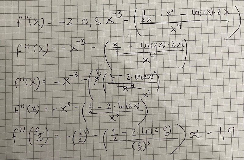
Hej. Är det här rätt uträkning?
Nej, din andraderivata stämmer inte.
Jag tror att du fortfarande gör för stora räknesteg i huvudet.
Jag saknar din faktaruta när du tar fram andraderivatan.


Är det rätt?
Ja. Hade kanske varit enklare med teckenstudium, då hade du sluppit ta fram andraderivatan. Men bra träning.
men det är väl rätt?

