Visa att H uppfyller kontinuitetsfunktionen
Hej!
Jag har kört fast i 4b och förstår inte uppgiften riktigt. Menar de att jag ska utföra indexnotationen på S för att visa att H uppfyller kontinuitetsekvationen?

Beräkna och •S. Visa att ekvationen uppfylls om du också utnyttjar Maxwells ekvationer som ges på rad 3.
PATENTERAMERA skrev:Beräkna och •S. Visa att ekvationen uppfylls om du också utnyttjar Maxwells ekvationer som ges på rad 3.
Jag förstår inte riktigt varför jag ska göra dessa två saker du nämner. En annan sak jag undrar över är vad du menar med " . Visa att ekvationen uppfylls om du också utnyttjar Maxwells ekvationer som ges på rad 3." Vilken rad?
Eftersom du skall visa att •S = 0. Så känns det väl naturligt att börja med det som jag sa.
Maxwells ekvationer:

PATENTERAMERA skrev:Eftersom du skall visa att •S = 0. Så känns det väl naturligt att börja med det som jag sa.
Maxwells ekvationer:
Ok, men varför ska man ta divergensen av S och inte derivera S ? Är det bara för att S är ett vektorfält och HL säger oss att det är något vektor pga kryssprodukten och om vi ska derivera en vektor så ska man använda divergensen och inte tex gradienten av S för då får man ut en vektor och inte en skalär? Men hur vet man att man ska ta divergensen och ej gradienten? Den där blåa inrigade maxwells ekvationer vet jag inte vad man ska göra med.
PATENTERAMERA skrev:
Det är divergensen? Hur vet man att det är så? Jag trodde det di var nabla operator på S vektorfältet.
destiny99 skrev:PATENTERAMERA skrev:Det är divergensen? Hur vet man att det är så? Jag trodde det di var nabla operator på S vektorfältet.
Dubbel i betyder kontraktion dvs summa över i.
PATENTERAMERA skrev:destiny99 skrev:PATENTERAMERA skrev:Det är divergensen? Hur vet man att det är så? Jag trodde det di var nabla operator på S vektorfältet.
Dubbel i betyder kontraktion dvs summa över i.
Men det här ser jag tyvärr inte. Jag förstår inte hur man ska utföra diSi. Så jag hänger inte alls med på vad du gör i #8. Jag tänker använda indexnotation på S för att komma fram till diSi och hur du deriverar H map tiden förstår jag inte , du hoppar över en del steg som jag inte ser. Kan du använda kedjeregeln så man ser hur det faktiskt blir som du fått?
För H gör du detta eller hur?

Dubbelindex betyder summa - se boken.
.
PATENTERAMERA skrev:Dubbelindex betyder summa - se boken.
.
Vilken sida i boken? Om man inte minns detta. Kan man använda indexnotation för att komma fram till div S?
destiny99 skrev:För H gör du detta eller hur?
Ja du kan använda den, men tänk på att det är partiell tidsderivata.
PATENTERAMERA skrev:destiny99 skrev:För H gör du detta eller hur?
Ja du kan använda den, men tänk på att det är partiell tidsderivata.
Ja precis H är en funktion av E och B , B och E beror i sin tur på t. Det blir samma resultat som du fått.
Men jag tycker det är enklare om du helt enkelt beräknar .
PATENTERAMERA skrev:Men jag tycker det är enklare om du helt enkelt beräknar .
Jag ser inte hur detta är enkelt. Jag deriverar fel om jag ska bara ta derivatan av E mha på tiden och även för B.
PATENTERAMERA skrev:.
Ja jag fick 1/2*2*E(t)*dE/dt+1/2*2*B(t)*dB/dt. Men vill du svara på vilken sida i boken diSi förekommer och ifall jag kan använda indexnotation för att hitta diSi?
är bara en kortform för .
Jag noterar att Ramgard ofta använder kommanotation istället.
.
Att dubbelindex (dummyindex) betyder summa står på första sidan om tensorer. Einsteins summakonvention. Men jag har andra upplagan så det kanske har ändrats något.
PATENTERAMERA skrev:är bara en kortform för .
Jag noterar att Ramgard ofta använder kommanotation istället.
.
Att dubbelindex (dummyindex) betyder summa står på första sidan om tensorer. Einsteins summakonvention. Men jag har andra upplagan så det kanske har ändrats något.
Ska försöka hitta det.

Men jag ser inte den där notationen du skrev.
Han använder komma för att indikera partiella derivator.

Tillägg: 20 nov 2025 16:38
.
PATENTERAMERA skrev:Han använder komma för att indikera partiella derivator.
Tillägg: 20 nov 2025 16:38
.
Men nu har vi diSi , hur blir det då?
Se #12.
PATENTERAMERA skrev:Se #12.

Såhär får jag med indexnotation.
PATENTERAMERA skrev:Nja, inte riktigt rätt.
Du har gjort detta i en annan uppgift.
Vad är inte rätt enligt min lösning? Hur ska man korrigera?
Varför kan man inte göra såhär?

Jo, men sedan måste du tolka rätt hur det skall se ut med hjälp av nablaoperatorn. Tänk igenom hur du gör detta.
PATENTERAMERA skrev:Jo, men sedan måste du tolka rätt hur det skall se ut med hjälp av nablaoperatorn. Tänk igenom hur du gör detta.
Jag vet inte hur du menar med nabla tolkning. I vår uppgift har vi tex ingen B×nabla(E) utan nabla ×E. Men jag förstår bara inte varför vi byter index på andra termen som kan ge nabla×B i #26
Ditt svar skall bli en skalär storhet - inga fria index. Vad är B x nabla(E)?
PATENTERAMERA skrev:Ditt svar skall bli en skalär storhet - inga fria index. Vad är B x nabla(E).
Nu hänger jag inte med på var du menar detta? B×nabla E är en vektor. Vilket svar ska bli en skalär?
Divergensen av ett vektorfält är en skalär storhet (ett tal).
Är B x nabla(E) en skalär?
PATENTERAMERA skrev:Divergensen av ett vektorfält är en skalär storhet (ett tal).
Är B x nabla(E) en skalär?
Nej en vektor.
Så din slutsats måste vara fel.
PATENTERAMERA skrev:Så din slutsats måste vara fel.
Ja i första termen. Men i andra termen hade förut eijkEjdi(Bk). Varför kan man inte flytta in ejik så man har EjdieijkBk? Vi får ju E*(nabla XB ) som är en skalär.
Ja. Andra termen skall bli -E•B.
Låt oss gå baklänges på den första.

PATENTERAMERA skrev:Ja. Andra termen skall bli -E•B.
Låt oss gå baklänges på den första.
Jag förstår inte varför vi gör indexbyte på den andra termen. jag frågar inte om första termen här utan andra termen.
Det är för att det skall bli samma som du hade.
Vi tar det baklänges.

PATENTERAMERA skrev:Det är för att det skall bli samma som du hade.
Vi tar det baklänges.
Men gäller det inte att eijk=-ejik? Jag hade aldrig ejik i början utan eijk. Jag förstår fortfarande inte varför det är så passande att göra det indexbytet utan vettig förklaring. Den första termen förstod jag varför indexbytet var så lämplig på grund av att vi vill göra saken till en skalär och det blev samma vi började med. Men vad händer om vi inte alls gör indexbytet på andra termen? Blir det ändå inte rätt?
Vi vill en rotation skalärmultiplicerat med en vektor. Tänk på att jag gick baklänges, från det som vi ville komma fram till, till det som du hade.
Om vi slutar att dividera om detta och köper att vi får formlerna i #8, kommer du vidare då?
PATENTERAMERA skrev:Vi vill en rotation skalärmultiplicerat med en vektor. Tänk på att jag gick baklänges, från det som vi ville komma fram till, till det som du hade.
Om vi slutar att dividera om detta och köper att vi får formlerna i #8, kommer du vidare då?
Jag har väldigt svårt att förstå detta rent logiskt. Jag vill inte göra en indexbyte på andra termen för vi får ändå precis någon av maxwells ekvationer.
Du får formeln i #8. Köp att det är så för tillfället och gå vidare.
Gå tillbaka till #8 i morgon och övertyga dig att formeln stämmer.
Istället för indexnotation så kan du försöka dig på att härleda formeln med punktnotation - se Ramgard.
PATENTERAMERA skrev:Du får formeln i #8. Köp att det är så för tillfället och gå vidare.
Gå tillbaka till #8 i morgon och övertyga dig att formeln stämmer.
Istället för indexnotation så kan du försöka dig på att härleda formeln med punktnotation - se Ramgard.
Var hittar jag punktnotation? Isådant fall var denna uppgift inte passande för att lösa med indexnotation eller det var svårare kanske. Indexnotation skall gå om man lyckas få till rätt
Se kapitlet formell nablaräkning. De finns faktiskt en härledning av formeln i detta kapitel.
PATENTERAMERA skrev:Se kapitlet formell nablaräkning. De finns faktiskt en härledning av formeln i detta kapitel.
Ja men jag tror man ska bara kunna utan till den för jag förstår inte vad som härledas.

Ja, köp formeln just nu och gå igenom härledningen i detalj en annan dag.

PATENTERAMERA skrev:Ja, köp formeln just nu och gå igenom härledningen i detalj en annan dag.
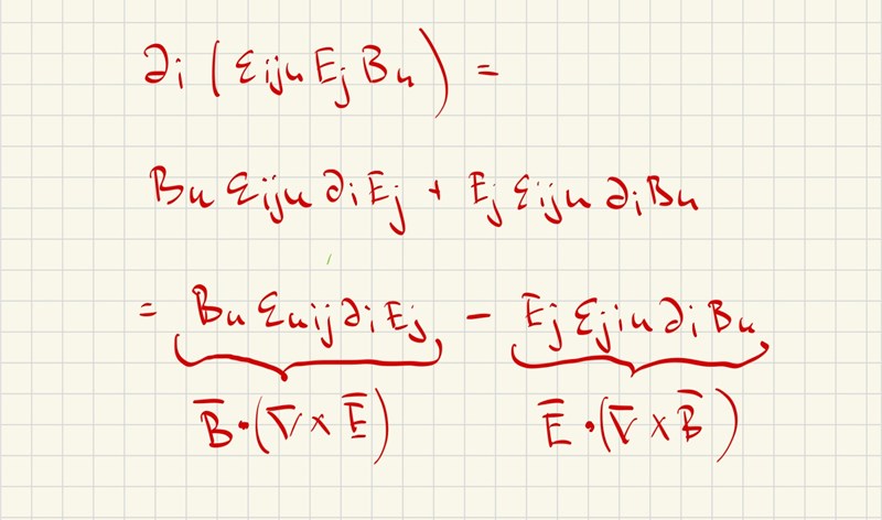
Ok jag kan göra en ny inlägg om härledningen så att jag förstår varför de är som de är. Till slut får jag detta nedan. Det verkar inte bli 0

Tillägg: 20 nov 2025 21:00
Vår lärare i den kursen rekommenderar starkt indexräkning över nablaräkning pga hur krångligt nablaräkning verkar, så jag tänker hans råd väger väl tyngre.
Titta på Maxwell igen. Du får med lite extra grejer.

PATENTERAMERA skrev:Titta på Maxwell igen. Du får med lite extra grejer.
Jaha du menar denna? Ja den tar ut dH/dt termerna

Ja, då var du klar. Detta har en intressant fysikalisk tolkning som du kommer uppskatta när du läser elektrodynamik.
