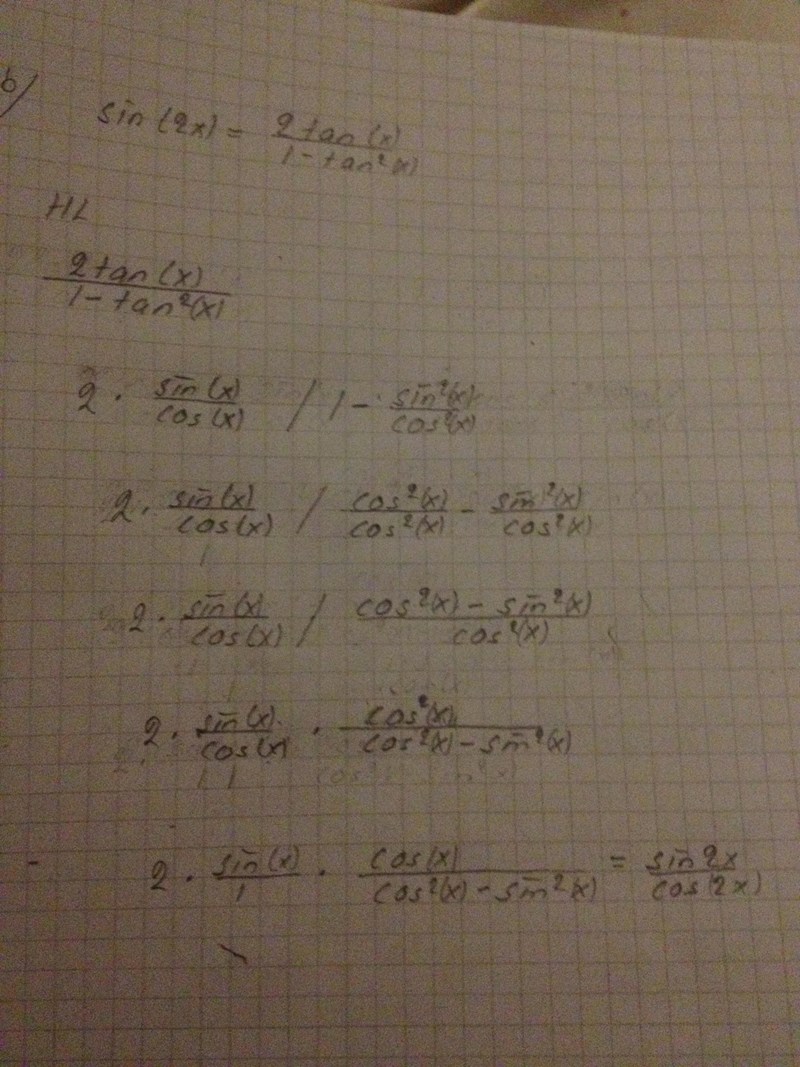
Har du skrivit av uppgiften rätt?
Det bör stå "Visa att tan(2x) = 2tan(x)/(1-tan^2(x))", som du mycket riktigt kommit fram till.
God morgon Yngve!
Jag har sovit dåligt. Hållit på plockat lite mitt i natten. Jag har pratat om fönster byte ska ske idag.
------
Bra Yngve.!
Det ska stå i nämnaren 1+ tan ^ 2(x)
Något är tokigt, vet bara inte var.
Päivi skrev :God morgon Yngve!
Jag har sovit dåligt. Hållit på plockat lite mitt i natten. Jag har pratat om fönster byte ska ske idag.
------
Bra Yngve.!
Det ska stå i nämnaren 1+ tan ^ 2(x)
Ja då är det bara att ändra alla minus till plus i din uträkning så är du nästan klar.
Det blir trig ettan, när det blev plus upptäckte jag. Kan man inte då skriva en etta istället?
Jag löste den uppgiften nu. Det var bara plus där som gjorde sitt.
Bra.
Jag kommer skicka nästa uppgift nu i nästa tråd.
