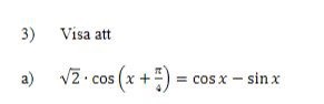
Visa att, roten ur 2*cos(x+pi/4)=cox-sinx
Varför hamnar jag på fel kvadrant? Har bara använt hjälpvinkelsatsen för sinus och vet inte riktigt om jag gjorde rätt här. Har det att göra med att cos(-x)=cosx? Tacksam för svar. Hälsningar.


Utveckla enligt lagarna för cos av en summa av vinklar och utnyttja att cos pi/4 = sin pi/4 = 2-0,5 så här: 20,5cos(x+pi/4)=20,5(cos x *sin pi/4 - sin x * sin pi/4)=20,5(cos x *2-0,5- sin x * 2-0,5)= 20,5 * 2-05(cos x - sin x)=cos x - sin x
Tomten kom tidigt i år! Följd fråga, du menar additions- och subtraktionsformler som dom kallar det i min skola då? Ska det inte vara cos(x+y)=cosxcosy-sinxsiny? Hänger inte helt med på din lösning och varför det är cosxsin..... - sinxsin...... men ett steg närmare, tack!
Den formeln var det jag menade. Ja.