Visa att rötterna är reella
Såhär har jag tänkt på den här, stämmer det och hur går jag vidare?
Tänk konjugatregeln, då ser du att den imaginära delen kommer bli i kvadrat (i^2 =-1) och således gör att den blir reell.
Tillägg: 13 mar 2023 15:51
Oj vänta nu, jag läste nog lite snabbt här...

Såhär kan du göra!
Hur fick du fram p och q från detdär?
Eftersom det är en likhet så kan jag använda koefficientidentifikation (vet ej om ni gått igenom det) men det är helt enkelt att eftersom uttrycken ska vara lika så måste det som står framför z i VL vara lika det som står framför z i HL, samma gäller för konstanten
Hur menar du? Jag förstår inte. Ska det inte endast vara de tal som är på p respektive qs plats i uttrycket?
Du ska bara bevisa att p och q är reella
Okej såhär, om du har en likhet mellan två polynom:
3x^2+4x-3 = ax^2 +bx +c
Eftersom det är en likhet, alltså samma sak på båda sidor, så MÅSTE a=3, b=4 och c=-3
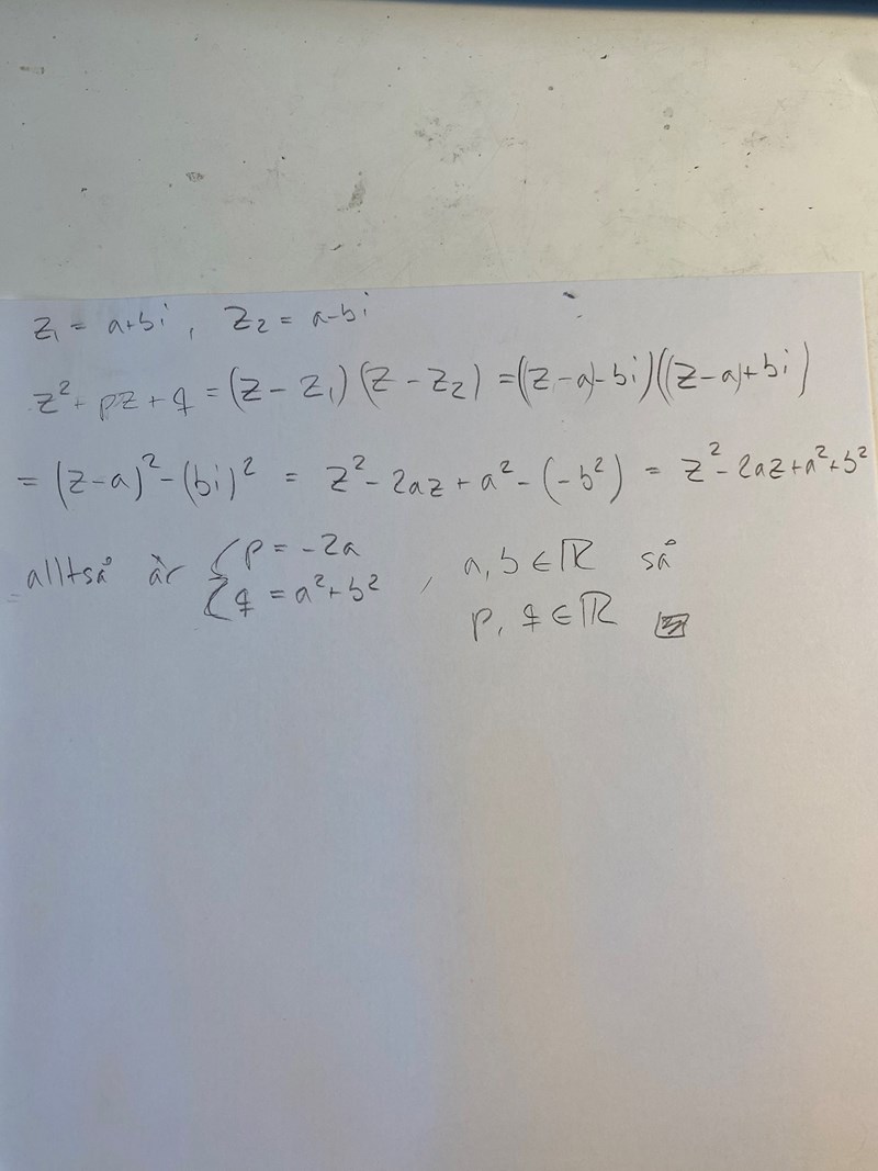
Alltså såhär? Eller ska jag skriva z^2+pz+q=z^2-2az+a^2+b^2 först och sen då se att a= -2 och q=a^2+b^2?
Ja precis. Men det ska stå att p = -2a inte a = -2
Nu fattar jag. Tack för hjälpen