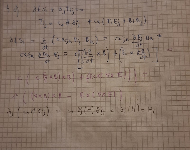
Visa att S i b) uppfyller ekvationen med Tij komponenter
Hej!
Jag förstår att man ska derivera dj map j för Tij , men är osäker på hur det ska gå till på grund kroneckerdelta och H? En annan sak jag är fast vid är dtSi.

Kroneckerdelta är en konstant tensor.
.
PATENTERAMERA skrev:Kroneckerdelta är en konstant tensor.
.
Hur får du till detta? H har väl ingen i eller j?? Juste Hi,j&ij=Hi?
PATENTERAMERA skrev:
Det är väl denna?

Du har S i frågan innan. S = cExB.
.
Ta sedan en titt på Maxwells ekvationer för att se om det finns något du kan använda.
PATENTERAMERA skrev:Du har S i frågan innan. S = cExB.
.
Ta sedan en titt på Maxwells ekvationer för att se om det finns något du kan använda.
Jag är dock inte med på hur du deriverar en kryssprodukt mellan två vektorer. Men jag får acceptera att man gör såhär då. Hm jag ser ingen maxwells ekvationer som kan användas.
Det är bara en variant av produktregeln. Du kan härleda den med indexnotation om du känner dig osäker.
Finns det någon Maxwell ekvation som innehåller ? Kan de kanske utnyttjas?
PATENTERAMERA skrev:Det är bara en variant av produktregeln. Du kan härleda den med indexnotation om du känner dig osäker.
Finns det någon Maxwell ekvation som innehåller ? Kan de kanske utnyttjas?
Sist jag gjorde detta mha indexnotation så slutade inte bra för det var något som jag inte förstod varför det blev på visst sätt och då nämnde du nablaräkning som jag ville helst undvika. I det här fallet har jag ingen aning hur jag ska använda indexnotation.
destiny99 skrev:PATENTERAMERA skrev:Det är bara en variant av produktregeln. Du kan härleda den med indexnotation om du känner dig osäker.
Finns det någon Maxwell ekvation som innehåller ? Kan de kanske utnyttjas?
Sist jag gjorde detta mha indexnotation så slutade inte bra för det var något som jag inte förstod varför det blev på visst sätt och då nämnde du nablaräkning som jag ville helst undvika. I det här fallet har jag ingen aning hur jag ska använda indexnotation.
Jag tycker du skall lära dig formell nablaräkning också; det är alltid bra att ha flera verktyg i sin verktygslåda 🧰.
PATENTERAMERA skrev:destiny99 skrev:PATENTERAMERA skrev:Det är bara en variant av produktregeln. Du kan härleda den med indexnotation om du känner dig osäker.
Finns det någon Maxwell ekvation som innehåller ? Kan de kanske utnyttjas?
Sist jag gjorde detta mha indexnotation så slutade inte bra för det var något som jag inte förstod varför det blev på visst sätt och då nämnde du nablaräkning som jag ville helst undvika. I det här fallet har jag ingen aning hur jag ska använda indexnotation.
Jag tycker du skall lära dig formell nablaräkning också; det är alltid bra att ha flera verktyg i sin verktygslåda 🧰.
Ja men läraren avrådde detta pga förvirring så jag känner mig mer hemma med index istället. Håller med annars.
PATENTERAMERA skrev:.
Ja ok då är jag med.
Eftersom den andra termen (Tij,j) inte innehåller några tidsderivator så skulle jag satsa på att få bort tidsderivatorna i den första termen mha Maxwell.
PATENTERAMERA skrev:Eftersom den andra termen (Tij,j) inte innehåller några tidsderivator så skulle jag satsa på att få bort tidsderivatorna i den första termen mha Maxwell.
Vad menar du?? Jag skulle vilja ha svar på #4. #10 ska man utnyttja maxwells när man konverterar från index till vektorform.
Du kan tex ersätta med och så vidare.
#4 verkade det som du greppat.
.
PATENTERAMERA skrev:Du kan tex ersätta med och så vidare.
#4 verkade det som du greppat.
.
Såhär får jag. Men hur kan det bli di(H)=Hi?

Tänk på att du får H,i inte Hi. Viktig distinktion.
Använd indexräkning för att utveckla .
PATENTERAMERA skrev:Tänk på att du får H,i inte Hi. Viktig distinktion.
Använd indexräkning för att utveckla .
Vad är skillnaden mellan H,i och Hi? Varför är di(H)=H,i?
Om H var en vektor så skulle Hi vara vektorns i:te komponent. Nu är H en skalär.
H,i = - dvs i:te komponenten till gradienten av H.
PATENTERAMERA skrev:Om H var en vektor så skulle Hi vara vektorns i:te komponent. Nu är H en skalär.
H,i = - dvs i:te komponenten till gradienten av H.
Men hur kan man använda gradienten här när svaret ska bli en skalär? Det begriper jag inte. Sen blir gradienten av en skalär en vektor.
Vilket svar skall bli en skalär menar du?
H,i är en vektor (eller rättare en komponent av en vektor).
PATENTERAMERA skrev:Vilket svar skall bli en skalär menar du?
H,i är en vektor (eller rättare en komponent av en vektor).
Innan sa du att H inte var en vektor och därför får man inte skriva Hi , utan istället H,i . Varför skriver man så ? Vilket av dessa två skrivssätt är en vektor eller en skalär? Lite förvirrande vad som är vad här.
H är en skalär. Titta på hur H är definierad. Inget index, skalär. Ett index, vektor. Två index, andra ordningens tensor. Osv.
När du tar gradienten av H så får du en vektor.
PATENTERAMERA skrev:H är en skalär. Titta på hur H är definierad. Inget index, skalär. Ett index, vektor. Två index, andra ordningens tensor. Osv.
När du tar gradienten av H så får du en vektor.
Ja jag är med på att gradienten av H ger en vektor. Så di(H)=Hi eftersom vi deriverar en skalär och får ut en vektor. Men det verkar vara skillnad mellan hur man skriver index här när H är vektor eller inte.
Nej diH = H,i. Kommatecknet är viktigt här.
PATENTERAMERA skrev:Nej diH = H,i. Kommatecknet är viktigt här.
Jag förstår tyvärr inte skillnaden mellan H,i och Hi här. Om H var en vektor från början så hade vi haft Hi medan om H inte är en vektor från början så är har vi H,i och vad innebär då H,i?
PATENTERAMERA skrev:
Så Hij,j=dHij/dxi? Kan man förresten använda indexnotation här för det här lär man inte komma ihåg alltid. Jag tänker det borde ge samma svar om man kör di(H) där H =1/2(E^2+B^2)
Ja, så skulle det bli.
PATENTERAMERA skrev:Ja, så skulle det bli.
Se #29
Ja.
H,i = (1/2)(EkEk + BkBk),i = EkEk,i + BkBk,i.
PATENTERAMERA skrev:Ja.
H,i = (1/2)(EkEk + BkBk),i = EkEk,i + BkBk,i.
Jag pratade med en assistent som sade att jag inte borde derivera Tij utan jobba med dtSi för då får man saker som leder till att dtSi = Tij och därifrån kan man se vad c1 och c2 bör bli. Han ansåg att den vägen är lättare än att gå baklänges som vi försökte med att derivera Tij.
Jag tror man får jobba lite på båda termerna för att lösa den. Och använda lite mer av Maxwell.
PATENTERAMERA skrev:Jag tror man får jobba lite på båda termerna för att lösa den. Och använda lite mer av Maxwell.
Ja. Ser detta rätt ut? Då kan jag använda kroneckerdelta , men då får jag såhär.

Obs du skall inte visa att dtSi = Tij. Så assistenten verkar vara ”full of shit” som det heter på franska.
PATENTERAMERA skrev:Obs du skall inte visa att dtSi = Tij. Så assistenten verkar vara ”full of shit” som det heter på franska.
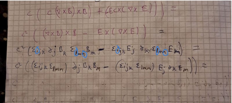
Det är det man kommer fram till om man ser på lösningsförslaget när man jobbar från dtSi. DtSi= - djTij till slut. Nu använder jag index på uttrycket som du sa att jag ska använda index på och det är inget annat än den #18 den termen plus kryssproduktermen med E. Jag får detta till slut, men jag vill att att den andra differentialoperator ska ha samma index som dm.

Detta har spårat ut någonstans. Det skall bara finnas ett fritt index, du har tre på slutet.
.
PATENTERAMERA skrev:Detta har spårat ut någonstans. Det skall bara finnas ett fritt index, du har tre på slutet.
.
Ok så jag bör ha eijkdjbkelmnBm i början? Vi har två index som förekommer två gånger vilket är ok.
Du bör ha det som jag skrev. Ett fritt index i. j, k, m, n är dummyindex.
PATENTERAMERA skrev:Du bör ha det som jag skrev. Ett fritt index i. j, k, m, n är dummyindex.
Men det här är vad jag har. Se bild

Nej, det är fel.
Eftersom ditt uttryck är en vektor så skall du bara ha ett fritt index. Du har flera. Gör om, gör rätt. Titta på hur jag gjorde.

PATENTERAMERA skrev:Nej, det är fel.
Eftersom ditt uttryck är en vektor så skall du bara ha ett fritt index. Du har flera. Gör om, gör rätt. Titta på hur jag gjorde.
Ok. Jag förstår tyvärr inte hur man ska göra detta. Så jag förstår då inte hur du har gjort. Jag är bara med på i är fritt index för nabla kryss B. Men sen hur man hanterar nästa vet jag inte. Då ska man välja en till fri index som inte är i om det ska vara en vektor. Varför funkar det inte att välja helt andra index som inte är i, k eller j om man tex väljer fri index på nästa epsilon som är utanför (nablaxB) ?
Kalla rotB för y, då skall du beräkna
y x B
(y x B)i = eijkyjBk. (1)
yj = (rotB)j = ejmndmBn = ejmnBn,m. (2)
Sätt in (2) i (1).
PATENTERAMERA skrev:Kalla rotB för y, då skall du beräkna
y x B
(y x B)i = eijkyjBk. (1)
yj = (rotB)j = ejmndmBn = ejmnBn,m. (2)
Sätt in (2) i (1).
Det ser typ oförståeligt ut. Om jag vet att jag har eijkdjBk i början, kan man inte ta ejlmBl eller elmnBm? Så kunde man göra förut.
Hur då?
destiny99 skrev:PATENTERAMERA skrev:Kalla rotB för y, då skall du beräkna
y x B
(y x B)i = eijkyjBk. (1)
yj = (rotB)j = ejmndmBn = ejmnBn,m. (2)
Sätt in (2) i (1).
Det ser typ oförståeligt ut. Om jag vet att jag har eijkdjBk i början, kan man inte ta ejlmBl eller elmnBm? Så kunde man göra förut.
Nej, det blir fel. Ett index får bara förekomma max två gånger. Här får du tex j tre gånger.
Här är en snarlik uppgift.
Där har de eijk eklm. Vi borde göra på samma sätt här.

Nja, vi har rot(någonting) x någonting.
I denna uppgift har man rot(någonting x någonting).
Det är inte samma.
PATENTERAMERA skrev:Nja, vi har rot(någonting) x någonting.
I denna uppgift har man rot(någonting x någonting).
Det är inte samma.
Det är inte samma uppgift. Jag menar man kan göra ungefär på samma sätt. I vår uppgift har vi (nablaxB)×B. Det svåra är hur man ska hantera xB som är utanför parantesen. Det är där som stökar till för mig. Jag vet exakt hur man gör inom parentesen då vi har eijk dj Bk. Om det ska vara fritt index på hela ([nablaxB]×B)i termen , så borde det då vara ( eijkdjBk)eilmBl , men du säger att i inte får förekomma mer än 1 gång?
Gör som jag sa och kalla rot(B) för y.
Hur skriver du y x B i idexform.
(y x B)i = … ?
PATENTERAMERA skrev:Gör som jag sa och kalla rot(B) för y.
Hur skriver du y x B i idexform.
(y x B)i = … ?
Nej jag förstår inte riktigt.
Hur skriver du kryssprodukten mellan två vektorer u oc v med indexnotation.
destiny99 skrev:PATENTERAMERA skrev:Gör som jag sa och kalla rot(B) för y.
Hur skriver du y x B i idexform.
(y x B)i = … ?
Nej jag förstår inte riktigt.
(y x B)i = eijkyjBk. Känns det igen?
PATENTERAMERA skrev:destiny99 skrev:PATENTERAMERA skrev:Gör som jag sa och kalla rot(B) för y.
Hur skriver du y x B i idexform.
(y x B)i = … ?
Nej jag förstår inte riktigt.
(y x B)i = eijkyjBk. Känns det igen?
Javisst. Jag kallar nablaXE=x

Nästan rätt. Ett j bör vara k.

PATENTERAMERA skrev:Nästan rätt. Ett j bör vara k.
Ja. Men jag får nu att c1=-c^2 och c2=c^2 men facit fick c1=c^2 och c2=-c^2

PATENTERAMERA skrev:.
.
Ska jag sätta minustecken framför uttrycket jag fått fram på dtSi då?
Ja, så kan man se det.
