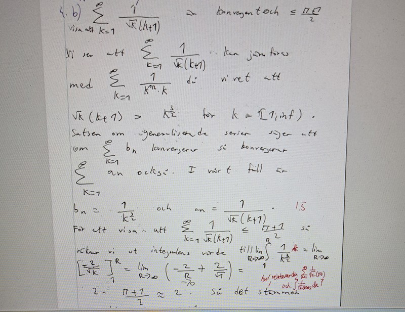
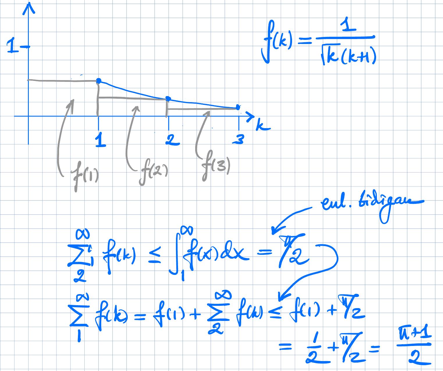
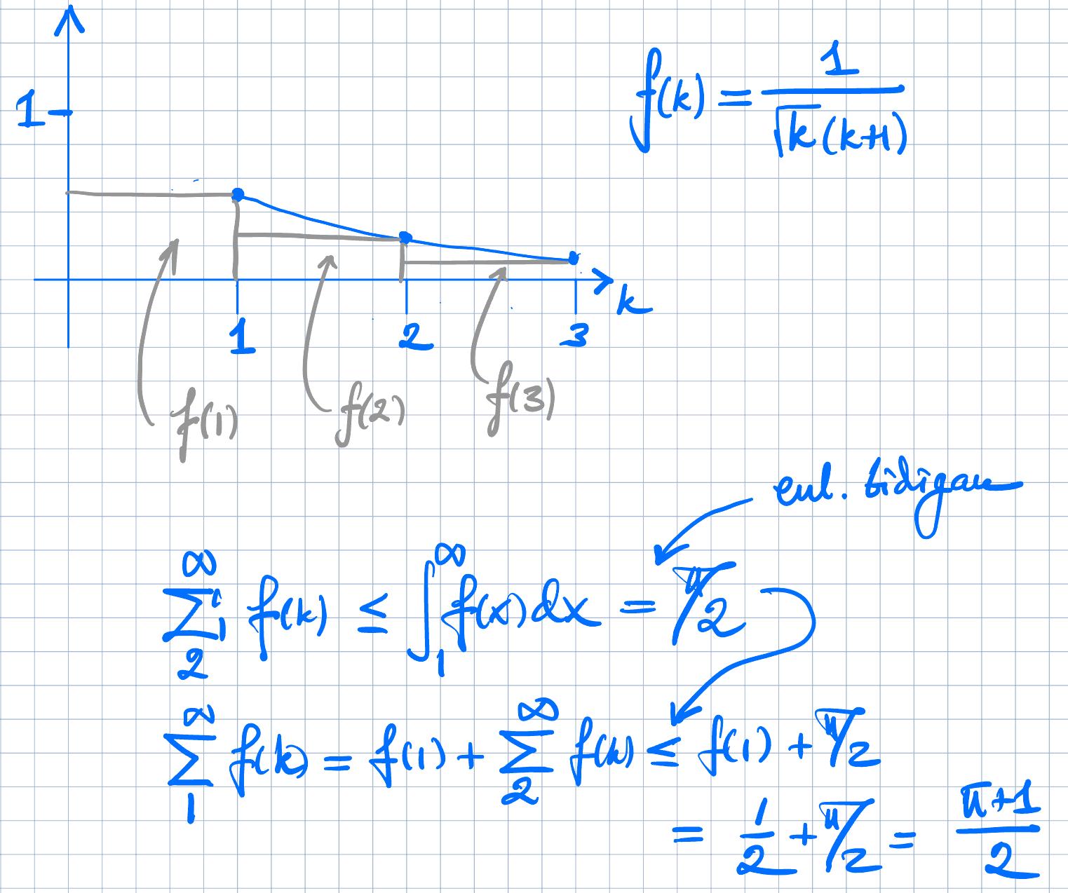
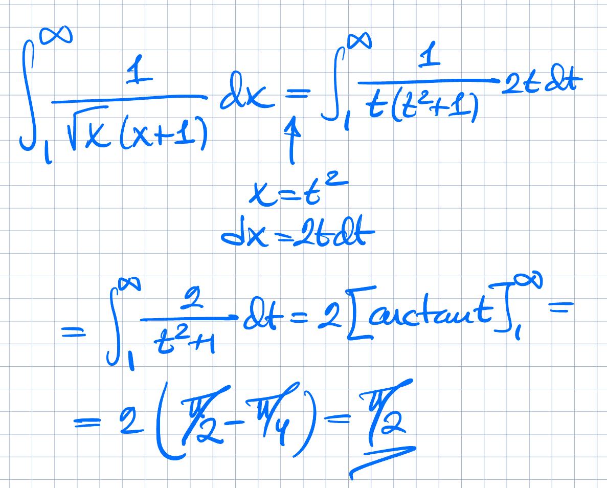
Visa att serien är mindre än eller lika med( pi+1)/2


Hej!
Jag fick avdrag här för att jag inte kan relatera den givna serie integralen med värdet som vi fått från uppgiften och jag vet inte riktigt hur man gör detta förutom att räkna ut integralens värde som vi visste konvergerade mha jämförelsesatsen för serier och sen jämföra det värdet med pi+1/2
Jag hade ritat och sett hur integralen förhåller sig i vänstra gränsen. Då

kommer troligen 1/2 från ett ”fel” i Riemannsumman och olikheten faller ut. Prova och se om det leder någon vart.
Något i stil med

Trinity2 skrev:Något i stil med
Men hur kommer man på denna skiss? Jag förstår verkligen inte. Sen olikheten som jag inte heller är med på.
Trinity2 skrev:Jag hade ritat och sett hur integralen förhåller sig i vänstra gränsen. Då
kommer troligen 1/2 från ett ”fel” i Riemannsumman och olikheten faller ut. Prova och se om det leder någon vart.
Vad är syftet med att först räkna ut integralen?

