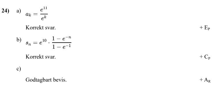
Visa att summan för en geometrisk talföljd <35000

Jag har fastnat på c-uppgiften.
Hittils har jag kommit fram till ekvationen: och summa formeln
Men hur ska jag få fram at summan alltid är mindre än 35000? Ska jag köra gränsvärde på något sätt?
Visa spoiler

Svaret på b kan inte innehålla k, men det ska innehålla n.
Men hur gör man för att lösa uppgiften?
Stämmer summaformeln? Den ser ut att bli negativ.
Laguna skrev:Stämmer summaformeln? Den ser ut att bli negativ.
Man ska tydligen multiplicera bråket med -1 men förstår inte varför, då jag stoppa in allt i formln blev det som jag skrivit överst.
Vad blir summan när n går mot oändligheten?
Laguna skrev:Vad blir summan när n går mot oändligheten?
Blir den inte bara större och större då?
Edit: Vänta lite, man kan förenkla det till att bli: och isåfall närmar det sig noll då n närmar sig oändligheten
Vad har du lärt dig om gränsvärden?