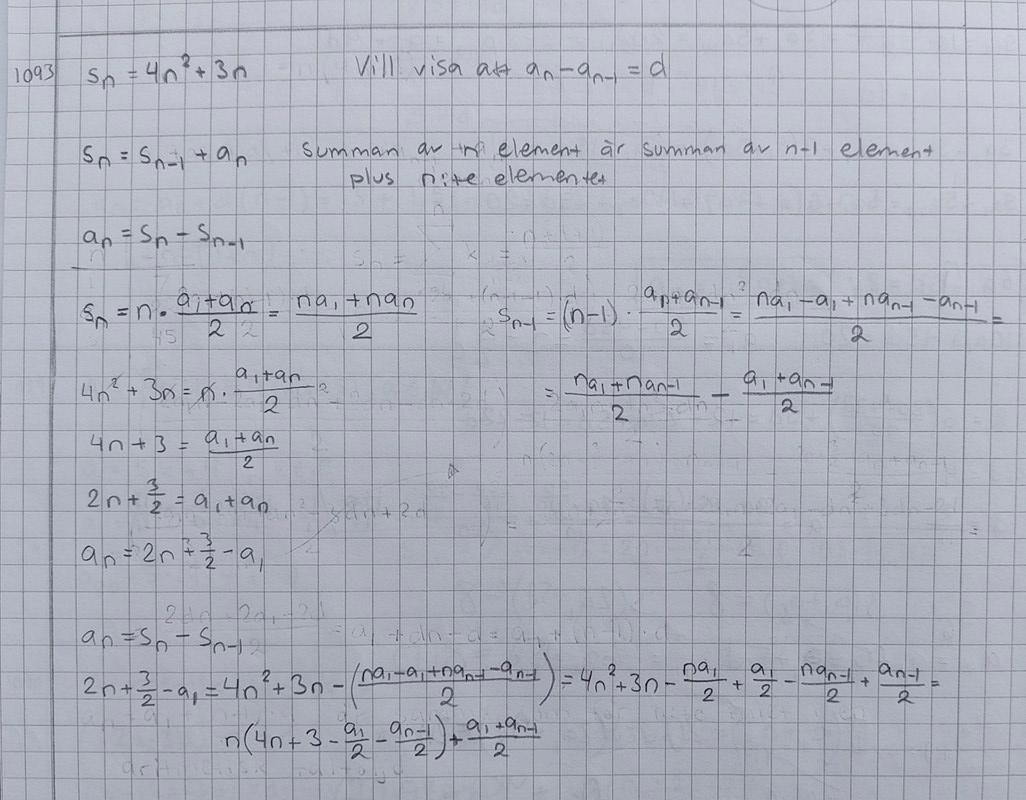
Visa att talföljd är aritmetisk och bestäm sluten formel
Hej!
Jag skulle behöva hjälp med följande uppgift:


Jag tänker att jag ska försöka visa att differensen mellan ett tal och det tidigare talet är konstant, d. Jag utgår från aritmetisk summan för de respektive talen, men det känns inte som att jag är på rätt väg. Jag har alldeles för många obekanta variabler i den sista ekvationen och jag undrar om det finns något lättare sätt att lösa uppgiften.
Tack på förhand!
Första raderna, ser bra ut. Men jag förstår inte vad du gör på 4e raden.
Du vill visa att an-an-1 är konstant. Mha av sambandet an=Sn-Sn-1 får du Sn-2Sn-1+Sn-2 som ska bli konstant. Ersätt nu respektive term med den slutna formeln för Sn.
Börja med att skriva upp de fyra-fem första värdena för summan och se hur det ser ut. Det ger förhoppningsvis någon idé om hur man kan fortsätta.
Smaragdalena skrev:Börja med att skriva upp de fyra-fem första värdena för summan och se hur det ser ut. Det ger förhoppningsvis någon idé om hur man kan fortsätta.
Tack så mycket för hjälpen!
Jag skrev upp de första värdena och insåg att differensen av differensen (andradifferensen) är konstant och ni har tidigare lärt mig hur jag ska räkna på det.
Calle_K skrev:Första raderna, ser bra ut. Men jag förstår inte vad du gör på 4e raden.
Du vill visa att an-an-1 är konstant. Mha av sambandet an=Sn-Sn-1 får du Sn-2Sn-1+Sn-2 som ska bli konstant. Ersätt nu respektive term med den slutna formeln för Sn.
Tack så mycket för hjälpen!
Jag ska räkna på det och se om jag får samma svar som när jag räknar med differensen av differensen.
En fråga till: räcker det att visa att andradifferensen är konstant för att visa att talföljden är aritmetisk?