Visa att tre vektorer är ett ortogonalrum i R3
Vill visa att dessa 3 vektorerna är ett ortogonalrum i R3. Hittar dock inte definition till vad ett ortogonalrum är. Jag har testat att sätta [v1 v2 v3]=0 och fått fram att de är linjärt beroende(x1=x3, x3=4x3, x3 fri), men vet inte vad de säger huruvida de ligger i ett ortogonalrum
Vektorerna är inbördes ortogonala och skilda från noll. De är därför linjärt oberoende. Så mycket kan man i alla fall säga. Har inte heller stött på termen ortogonalrum förut. Såg på ett ställe på webben att man kallade ortogonalt komplement för ortogonalrum, men det passar ju inte in här.
PATENTERAMERA skrev:Vektorerna är inbördes ortogonala och skilda från noll. De är därför linjärt oberoende. Så mycket kan man i alla fall säga. Har inte heller stött på termen ortogonalrum förut. Såg på ett ställe på webben att man kallade ortogonalt komplement för ortogonalrum, men det passar ju inte in här.
Konstigt, min lärare är inte flytande i svenska vilket kan vara problemet. Så här löste hen uppgiften, förstår dock inte vad som händer därav posten 
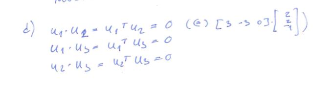
I så fall tycks uppgiften vara att bevisa att vektorerna är ortogonala mot varandra.
Bedinsis skrev:I så fall tycks uppgiften vara att bevisa att vektorerna är ortogonala mot varandra.
Så det räcker att ta skalärprodukten av v1*v2,v1*v3,v2*v3 och om de alla är lika med 0 så ligger de i ett ortogonalrum?
Cien skrev:Bedinsis skrev:I så fall tycks uppgiften vara att bevisa att vektorerna är ortogonala mot varandra.
Så det räcker att ta skalärprodukten av v1*v2,v1*v3,v2*v3 och om de alla är lika med 0 så ligger de i ett ortogonalrum?
Det är ju så din lärare löst uppgiften, så uppenbarligen är det rätt sätt att visa det som uppgiften efterfrågade.