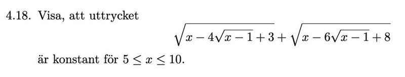
Visa att uttrycket är konstant

Mitt försök:
Kan du sätta uttrycket som en funktion av x och se vad som händer då du deriverar det? Om den är konstant lär derivatan vara noll inom intervallet.
Närmare uträkningar föreslår följande tillvägagångssätt: använd din definition av t och omvandla alla x till vad det motsvarar i t. Detta gör att de stora rottecknen så småningom kan tas bort, vilket borde ge en lösning.
Ok, hur deriverar jag t då?
Hej,
Du kan börja med att notera följande.
samt
Vad kan du därefter säga om absolutbeloppet då och om absolutbeloppet då ?
Derivatan är då inte 0 för
Det var nog en mindre lyckad idé att föreslå att tänka på derivatan. Förlåt för det.
Bedinsis skrev:Det var nog en mindre lyckad idé att föreslå att tänka på derivatan. Förlåt för det.
Ok räcker det nu med att testa för t.ex. 6 och 8 att uttrycket inte ändrar värde?
Du gör substitutionen . Jag skulle föreslå att du testar i stället! Du får uttryck som du lätt kan kvadratkomplettera och sedan blir du av med rottecknen och får lättare uttryck att jobba med.
Dualitetsförhållandet skrev:Derivatan är då inte 0 för
Det här är nästan rätt, men är det verkligen så att är lika med ?
Till D. F.,
Du verkar felaktigt tro att kvadratrot och kvadrering ”tar ut varandra”.
Det gäller att
När är varför
och
vilket ger resultatet
och detta gäller alltså för alla
Annars tycker jag du började med rätt tanke.
Med liten insats hade du hamnat i:
Affe Jkpg skrev:Annars tycker jag du började med rätt tanke.
Med liten insats hade du hamnat i:
Menar du att D. F. sedan skulle derivera med avseende på för att få att z är konstant på intervallet [2,3]? För det var ju derivera som var på tapeten från början.
Menar du att D. F. sedan skulle derivera zz med avseende på tt för att få att z är konstant på intervallet [2,3]? För det var ju derivera som var på tapeten från början.
Jag tycker inte att man behöver derivera, utan det räcker med att rita |t -2| och |t -3| för att konstatera konstant summa i intervallet [2,3].
Affe Jkpg skrev:Menar du att D. F. sedan skulle derivera zz med avseende på tt för att få att z är konstant på intervallet [2,3]? För det var ju derivera som var på tapeten från början.
Jag tycker inte att man behöver derivera, utan det räcker med att rita |t -2| och |t -3| för att konstatera konstant summa i intervallet [2,3].
Om angreppsättet är att rita så kan man rita det ursprungliga komplicerade rotuttrycket, utan att behöva klura ut en fiffig substitution. Men med en bild har man bara fått en indikation att påståendet om konstant summa stämmer.
Albiki skrev:Affe Jkpg skrev:Annars tycker jag du började med rätt tanke.
Med liten insats hade du hamnat i:
Menar du att D. F. sedan skulle derivera med avseende på för att få att z är konstant på intervallet [2,3]? För det var ju derivera som var på tapeten från början.
Villkoret ger att . Alltså är och . På det kan man väl bygga ett formellt bevis utan att varken rita eller derivera?
SvanteR skrev:Albiki skrev:Affe Jkpg skrev:Annars tycker jag du började med rätt tanke.
Med liten insats hade du hamnat i:
Menar du att D. F. sedan skulle derivera med avseende på för att få att z är konstant på intervallet [2,3]? För det var ju derivera som var på tapeten från början.
Villkoret ger att . Alltså är och . På det kan man väl bygga ett formellt bevis utan att varken rita eller derivera?
Jajemän, och det är precis det som jag gjort i mitt inlägg ovan.
Ok, ge gärna respons på den här lösningen tack.
Om angreppsättet är att rita så kan man rita det ursprungliga komplicerade rotuttrycket, utan att behöva klura ut en fiffig substitution.
Jo, men först efter genomförd substitution blev angreppsättet uppenbart och enkelt att rita,
Men med en bild har man bara fått en indikation att påståendet om konstant summa stämmer.
Försök rita dom två beloppen i en funktions-graf, så inser du nog att slutsatsen om konstant summa, är mer än en indikation.
Dualitetsförhållandet skrev:Ok, ge gärna respons på den här lösningen tack.
Utmärkt!!
Tack så mycket för hjälpen alla!
Affe Jkpg skrev:Dualitetsförhållandet skrev:Ok, ge gärna respons på den här lösningen tack.
Utmärkt!!
tänk på att t=3 måste utvärderas som ett separat fall. t=3 omfattas inte av t-2 -(t-3).
Varför behöver t=3 skrivas som ett separat fall? Andra parantesen blir ändå 0 om man adderar den.
Varför behöver t=3 skrivas som ett separat fall? Andra parantesen blir ändå 0 om man adderar den.
Noll kan betraktas som varken positivt eller negativt
Affe Jkpg skrev:Varför behöver t=3 skrivas som ett separat fall? Andra parantesen blir ändå 0 om man adderar den.
Noll kan betraktas som varken positivt eller negativt
Hur förändrar det resultatet?
Hur förändrar det resultatet?
Inte alls! En nitisk akademiker (lärare) kanske vill att du ska hantera värdet noll separat.