16 svar
426 visningar
jonte12 behöver inte mer hjälp
jonte12 472
Postad: 3 okt 2022 07:36

Visa kontinuitet för funktion i två variabler

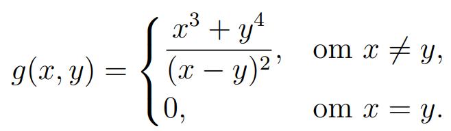
Jag ska avgöra kontinuitet i origo för

Borde man inte då kunna använda definitionen av kontinuitet, lim(x,y)(a,b)f(x,y)=f(a,b)?

Gör jag detta och byter till polära koordinater får jag lim(x,y)(0,0)x3+x4(x-y)2=ρ3cos3φ+ρ4sin4φ(ρcosφ-ρsinφ)2=ρ3(cos3φ+ρsin4φ)ρ2(1-sin2φ)=ρ(cos3φ+ρsin4φ)1-sin2φ. Vilket går mot noll för att det är "noll gånger något begränsat", och då har jag visat att den är kontinuerlig, men det ska den inte vara

tomast80 4297
Postad: 3 okt 2022 08:09 Redigerad: 3 okt 2022 08:09

Vad händer om sin2ϕ=1\sin 2\phi=1?

jonte12 472
Postad: 3 okt 2022 08:18
tomast80 skrev:

Vad händer om sin2ϕ=1\sin 2\phi=1?

Då blir det division med noll

JohanB 168 – Lärare
Postad: 3 okt 2022 10:47

Varför är det begränsat?

jonte12 472
Postad: 3 okt 2022 18:09
JohanB skrev:

Varför är det begränsat?

Jag kanske tänker fel men det är trigonometriska funktioner som max blir 1 och minst -1 

Tomten 2001
Postad: 3 okt 2022 19:07

Titta på täljaren också när sin 2fi=1 och därefter på hela uttrycket. Då kan du kanske besvara Jontes viktiga fråga. Notera också att vid två variabler räcker det att hitta en enda väg mot origo så att uttrycket divergerar för att hela svaret ska bli ”divergent”.

jonte12 472
Postad: 5 okt 2022 16:53

Men om det inte går att göra på detta sättet, varför? och hur ska man göra istället?

Smutsmunnen 1119
Postad: 5 okt 2022 17:50

Alltså först och främst: varför tittar du överhuvudtaget på (x,y)->(0,0)? Vad har det gränsvärdet med uppgiften att göra?

Laguna Online 31740
Postad: 5 okt 2022 17:53

Det står ju origo.

Smutsmunnen 1119
Postad: 5 okt 2022 17:54

Aha just det ja.

Tomten 2001
Postad: 5 okt 2022 18:12

Titta här: sin 2fi=1 för fi=pi/4. Då är cos fi=sin fi =2/2 vilket gör täljaren till ett positivt tal så länge som ro>0. Nämnaren däremot är som du själv säger =0. Kan uttrycket då ha ett gränsvärde?

Smutsmunnen 1119
Postad: 5 okt 2022 18:20
Tomten skrev:

Titta här: sin 2fi=1 för fi=pi/4. Då är cos fi=sin fi =2/2 vilket gör täljaren till ett positivt tal så länge som ro>0. Nämnaren däremot är som du själv säger =0. Kan uttrycket då ha ett gränsvärde?

Men problemet med det argumentet är att när cos fi=sin fi så är f(x,y) helt enkelt 0.

Smutsmunnen 1119
Postad: 5 okt 2022 18:34 Redigerad: 5 okt 2022 18:35
jonte12 skrev:

Jag ska avgöra kontinuitet i origo för

Borde man inte då kunna använda definitionen av kontinuitet, lim(x,y)(a,b)f(x,y)=f(a,b)?

Gör jag detta och byter till polära koordinater får jag lim(x,y)(0,0)x3+x4(x-y)2=ρ3cos3φ+ρ4sin4φ(ρcosφ-ρsinφ)2=ρ3(cos3φ+ρsin4φ)ρ2(1-sin2φ)=ρ(cos3φ+ρsin4φ)1-sin2φ. Vilket går mot noll för att det är "noll gånger något begränsat", och då har jag visat att den är kontinuerlig, men det ska den inte vara

Alltså när vi gör variabelbytet så har vi inte f(x,y) utan f(x,y) under förutsättning att x är skilt ifrån y, vilket är det samma som att sin 2phi inte är 1.

Om vi tar en punkt säg (1,1) på linjen y=x och närmar oss den via en cirkel med centrum i origo, det vill säga vi låter rho vara fix och phi närma sig pi/4 så ser vi att f(x,y) divergerar längs den cirkeln. Dvs f(x,y) är inte kontinuerlig i (1,1) eller någon annan punkt på linjen y=x utom möjligen (0,0).

Observera vidare att om vi närmar oss origo längs någon linje genom origo så funkar Jonte12:s argument, då går  (för ett fixt phi) f(x,y) mot 0. Särskilt om x=y för längs den linjen är f(x,y)=0 hela vägen.

Så om den här funktionen är diskontinuerlig i origo så kan vi visa det endast genom att närma oss origo via någon icke-linjär kurva. Sådana exempel finns, alltså där man får kontinuitet längs varje linje men inte nödvändigtvis längs varje kurva.

Heuristiskt tippar jag att roliga saker kan hända längs kurvan y^4=x^3.

Smutsmunnen 1119
Postad: 5 okt 2022 18:55

Eller ännu bättre:

vi närmar oss (0,0) via parabeln y^2+y=x (så att y^4=(x-y)^2), då bör gränsvärdet vara 1 vilket bevisar icke-kontinuitet i origo.

Smutsmunnen 1119
Postad: 5 okt 2022 19:15

Eller nej längs den parabeln har vi divergens men det bevisar icke-kontinuitet lika fullt.

Smutsmunnen 1119
Postad: 5 okt 2022 20:15 Redigerad: 5 okt 2022 20:18

Alltså för att göra en kort koncis version av svamlet ovan:

vi låter  (x,y)(0,0) längs parabeln y2+y =x. Den parabeln skär linjen y=x endast i (0,0). I parameterform kan vi skriva den kurvan (t2+t,t).

Vi får:

limt0t3(t+1)3+t4t4=limt01+(t+1)3t=

vilket visar icke-kontinuitet.

Tomten 2001
Postad: 6 okt 2022 13:24

Jag litade lite för mycket på frågeställarens övergång till polära koordinater. Den ser inte rätt ut, men någon redovisning syns inte till.

Svara
Close