3
svar
214
visningar
naturar3 behöver inte mer hjälp
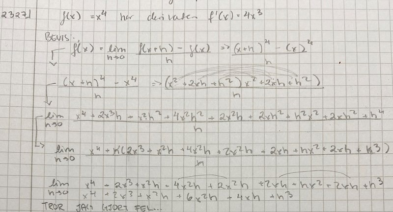
Visa med derivatans definition
Hej!
Jag har det ganska så svårt att derivera denna uppgift… vart gör jag fel? Eller har jag gjort fel hittils?