Visa med ledning att..
Visa med ledning att
Vet inte riktigt hur man ska tänka, eller vad "visa med ledning" innebär.. Någon som kan förklara?
Sen så undrar jag om jag tänker rätt när jag väljer cos 45 grader - cos 30 grader. men får 15 % då, och egentligen visar räknaren 16% om man avrundar uppåt.

Vad säger subtraktionsformeln för cosinus?
har inte läst om den formeln, men kan kolla upp det.
Ja, gör det. Utan den blir det svårt.
när det blir -0,15 så blir svaret , -cos(15 grader)-1 ?
Nej. Du skall inte ta fram ett numeriskt värde för cos(15o), du skall visa att cos(15o) = .
Börja med att leta upp formeln för cos(u-v).
cos (u-v) är cos u cos v+sin u sin v
Slå upp de fyra trigonometriska värdena som du behöver - sinus och cosinus för 45o och 30o.
Ska man göra såhär?
Vad är det som står före likhetstecknet?
Det som står efter likhetstecknet ser riktigt ut - förläng det med för att få bort roten i nämnaren.
cos 45 grader-30 grader står framför likhetstecknet
OliviaH skrev:cos 45 grader-30 grader står framför likhetstecknet
Nej, möjligen kan man säga att det som är innan likhetstecnet är cos(45o)-cos(30o) och det är något helt annat.
det jag menar är :
OliviaH skrev:det jag menar är :
Vad har det med den här uppgiften att göra?
Om du formulerar början av din lösning så här så blir det tydligt hur du tänker (plus att det blir rätt):
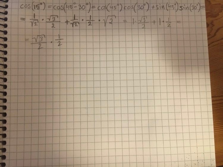
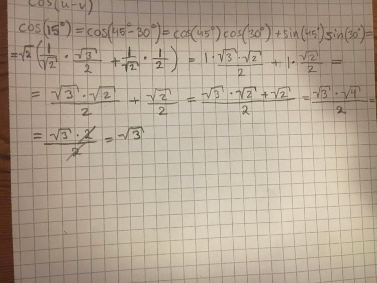
cos(15°) = cos(45°-30°) = cos(45°)cos(30°) + sin(45°)sin(30°) = ...
Tack!
jag känner inte till hur man förlänger rötter.. blir det såhär?
eller såhär?
hmm okej, ser detta något bättre ut?
Nej det stämmer inte.
Kan du förklara hur du tänker och med små små steg visa hur du räknar?
Och har du verkligen hunnit läsa de två avsnitt jag länkade till i svar #19?
jag tänker att jag förlänger med roten ur 2 i täljare och nämnare, för jag såg att man ska förlänga med bråk som blir 1. Och eftersom jag ska förlänga med roten ur 2 så blir roten ur två dividerat med roten ur två, 1. så tänkte jag
och om jag multiplicerat roten ur två med roten ur två och 2 får jag 4, och andra termen har samma siffror så det blir också 4, 4+4= 8 i nämnaren, och täljaren.. hmm, ska det vara en roten ur 2 till i täljaren?
Visa med små små steg hur du räknar så kan vi hjälpa dig att hitta felet.
såhär tänker jag
Hur får du att bli 8?
det blir 4, men jag adderade dem också. Men förstår nu att nämnaren ska vara 4?
OliviaH skrev:det blir 4, men jag adderade dem också. Men förstår nu att nämnaren ska vara 4?
Ja, nämnaren ska vara 4.
Detta eftersom och inte .
Om du känner dig osäker på det så bör du gå tillbaka och repetera addition/subtraktion av bråktal.
Nästa steg blir att förenkla täljarens första term till , enligt räkneregeln . Är du med på att det blir så?
ja, det förstår jag. Då har jag nu . Och då kan jag slutligen skriva det som .
OK bra, då är du klar.
är uträkningen korrekt uppställd?
Ja, förutom att det saknas ett par parenteser (blåmarkerade) för att indikera att du förlänger båda termerna och inte bara den sista.

kan jag ta bort parenteserna och enbart ha de två som du skrivit in? de blåa
De blå parenteserna behövs.
okej, då tar jag bort mina två parenteser och enbart har de blå
Dina parenteser (inuti de blå) behövs inte tack vare prioriteringsreglerna. De gör ingen skada om de är kvar.
okej, tack. Tar bort dem, ser renare ut