1 svar
357 visningar
theg0d321 646
Postad: 14 apr 2025 20:42

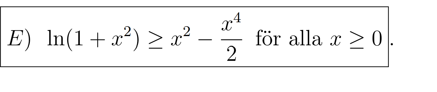
Visa olikheten

Hej! Jag ska visa att olikheten ovan gäller.
Man kan ju flytta över allt till vänsterledet och visa >=0 med derivata, men det tror jag inte är det mest effektiva. Jag skulle tro att man behöver använda maclaurinutvecklingen för ln(1+z) med z = x^2, men då får jag en serie där termerna ständigt ändrar tecken så det blir svårt att uppskatta med olikhet senare.

Har ni några förslag? Tack på förhand!

Svara
Close