1
svar
68
visningar
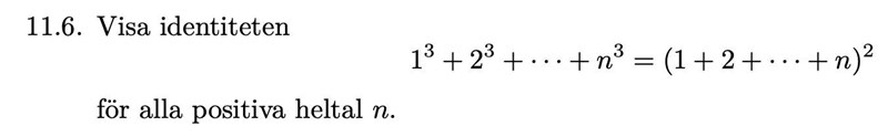
Visa summaformeln

När jag ska bevisa det med induktionsbevis genom att visa att det gäller för n+1 fastnar jag. Jag kan skriva om allt fram till (n+1)^3 till högerledet ovanstående formel, men vet inte hur jag ska skriva om (n+1)^3 för att kunna skriva allt på samma sätt som i högerledet i ovanstående formel. Tips?
Du antar att du skall för varje värde på n bevisa att uträkningen av vänsterledet kan skrivas som högerledet.
Jag tror att det är lättare att för varje värde på n bevisa att uträkningen av högerledet kan skrivas som vänsterledet.
Om du har antagit att du har ett uttryck för som kan uttryckas på vänsterledsform, så borde kunna förenklas.