Hej Päivi!
Har du en fråga? Min reaktion är att du har gjort en prydlig och korrekt lösning.
Hälsningar Gerd
Tack för det. Jag brukar ju slarva en hel del. Glömmer bort mycket.
Jag försökte göra detta i formeleditor, men vad som hände att jag inte fick den med. Det vet inte jag.
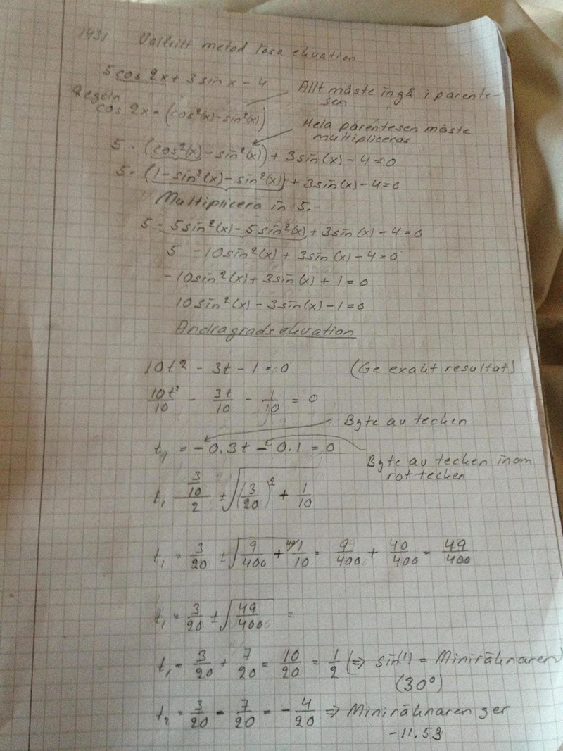
Det är en del felaktigheter i dina matematiska uttryck men du har tänkt rätt och fått fram rätt svar (fast med felaktig avrundning, det ska vara -11,54°).
Kan du tala om var Yngve! Visa det till mig!
Päivi skrev :Kan du tala om var Yngve! Visa det till mig!
1. Du skriver ett uttryck när det ska vara en ekvation (blåmarkerat).

2. Du glömde exponenten (blåmarkerat).

3. Det du har skrivit stämmer inte. Du har skrivit att . Till höger (gulmarkerat) står endast det som är under rottecknet (diskriminanten). Här har du alltså gjort en sidouträkning fast du har skrivit den som om den vore en del av uträkningen.

4. Avrundningen stämmer inte. -11,536959... ska avrundas till -11,54.

Det här exponenten har jag inte skrivit någon gång.
Sido räkningen är för att jag ska veta, vad jag ska sätta under rot tecknet.
Avrundar jag enligt bestämmelserna kan facit säga lite under mitt.
Tack för detta Yngve!
Päivi skrev :Det här exponenten har jag inte skrivit någon gång.
Vänta nu, är det här ett likhetstecken (rödmarkerat)?
Då är det ännu mer fel.

Sido räkningen är för att jag ska veta, vad jag ska sätta under rot tecknet.
Jo det förstår jag, men du får ändå inte skriva sidouträkningen på det sättet, för det lurar läsaren.
Avrundar jag enligt bestämmelserna kan facit säga lite under mitt.
Om du inte vill ha poängavdrag så ska du avrunda enligt avrundningsreglerna.
Ja, det är det. Det som är likhets tecken är röd markerade, ja.
Avrundning brukar jag tänka på, när det är prov, men nu försökte jag få facits svar.
Fråga mer Yngve! Är det också fel att jag har likhets tecken där?
Päivi skrev :Ja, det är det. Det som är likhets tecken är röd markerade, ja.
OK. Ser du att det du har skrivit där är fel?
Vad ska det vara där det är likhets tecken, Yngve? Jag ser felen. Jag tycker mer om att Du Yngve gör på det här sättet som Du gör nu att du påpekar så här mig.
Päivi skrev :Vad ska det vara där det är likhets tecken, Yngve? Jag ser felen. Jag tycker mer om att Du Yngve gör på det här sättet som Du gör nu att du påpekar så här mig.
Det skall stå och i fortsättningen har du räknat som om det är det som står där. Du har alltså tänkt rätt, men skrivit fel (och det räcker inte).
Tack Magdalena!
Päivi skrev :Vad ska det vara där det är likhets tecken, Yngve? Jag ser felen. Jag tycker mer om att Du Yngve gör på det här sättet som Du gör nu att du påpekar så här mig.
Det här borde du kunna ha upptäckt själv Päivi. Vi har ju gått igenom hur du ska kontrollera dina uträkningar. Jag vill att du använder den tekniken på dina egna uträkningar när vi påpekar vad som är fel. Istället är det nu så att du frågar oss om vad som är rätt. När du sitter på ett prov finns inte vi där och kan peka på vad som är fel och visa vad som istället är rätt.
Titta noga på bilden. På raden strax ovanför har du skrivit en andragradsekvation och på raden med det röda likhetstecknet ska du skriva samma ekvation, fast förenklad. Alla termer och symboler ska vara med i den förenklade ekvationen.
De två missar du har gjort är att du har ersatt med och att du har stoppat in ett omotiverat extra likhetstecken (rödmarkerat). Visst ser du väl det?

Jag har läst det, vad Du Yngve skrev. Sådant här tycker jag om som Du Yngve gör nu!
Ska skriva särskild det här i min block så jag kommer ihåg och i boken.
Tack för detta!
Päivi skrev :Jag har läst det, vad Du Yngve skrev. Sådant här tycker jag om som Du Yngve gör nu!
Ska skriva särskild det här i min block så jag kommer ihåg och i boken.
Tack för detta!
Märk väl att detta inte har med trigonometri att göra. Detta är vanlig algebra och ekvationslösning.
Det konstiga är att ingen har hittills påpekat mig och har inte sett det. Mina likhets tecken kan vara svårt att upptäcka. Min sambo visste inte om det var likhets tecken eller något annat. Jag har varit dålig på skriva likhets tecken. Det har han sagt åt mig.
Han sa till mig att jag måste skriva allt i bråk form och inte till decimal tal, när jag gör andragrads ekvation.
Jag brukar stanna till och tänka, när det är prov och tänka har jag glömt något. Jag brukar kontrollera par tre gånger samma räkning. Jag hade sist tre miniräknare i provet. Jag ville se om alla säger likadant eftersom jac kan också skriva fel siffror dit eller något annat tokigt. Jag hade enklare miniräknare med mig plus två grafritande miniräknare. Jag var mera osäker på använda grafritande räknare. Hur mycket jag kan räkna, litar inte jag på mig att jag inte glömmer. Jag hade 4 timmar på mig skriva matte. Vi hade stort prov på hela kursen. Allt var jag tvungen kunna.
Jag tyckte, det var roligt vara på prov. Vi som kom långt håll, fick ta mat med oss och dryck. Sådant har jag aldrig varit med om. Jag tyckte att 4 timmar var mycket. Första pappret var riktigt lätt. 10 räkningar var man tvungen klara av för att få det godkänt. Hela det pappret gjorde jag. Gick till nästa pappret. Då handlade det om VG räkningar och de uppgifterna var också väldigt lätta. När jag kom till MVG räkningar. Där var man tvungen klara av två räkningar av tre. Jag hade problem med två räkningar i MVG räkningar.
Sedsn hade jag muntlig förhör och lyckades rätta felet som jag gjorde i provet. De två felen rättade jag upp i muntliga. Det var två lärare som dömde mig. Jag var tvungen prata om matematik på tavlan. Fick massa frågor som jag skulle visa, hur jag gör.
Det här var länge sedan. Jag minns inte, hur B provet såg ut. Jag minns att det var någon räkning om fel marginal och standard avvikelse. Det är det enda jag minns från pappret. Nu kommer jag ihåg att vi hade sannolikhets lära. Det handlade om sockor. Man skulle plocka olika sockor. Hur stor chans hade man att man plockade rätt sockor utan att se, vad man tog.
Provet handlade om allt och inte enstaka saker.
Jag föreslår att du försöker göra dina likhetstecken lite tydligare. Gör strecken en smula längre och lite längre ifrån varandra.
Som jag berättade att min sambo har haft svårt med mina likhets tecknen.
Han sa till mig att jag måste ha sudd papper med mig, när jag gör mellan steg och inte alls visa mellan stegen. Han sa till mig, det är ingen som förstår, vad jag gör om jag har allt. Han förstod hur jag gjorde. Han lärde känna mig mycket bra. Sedan pratade han om parenteser. Det tänkte han ta upp med mig, men han gick bort. Han var med i matten. Han visste om att jag frågar inte hjälp, innan jag kommer till c uppgifter. Han ville se, när jag kommer dit. Under tiden tittade han på dator, när jag räknade. Det kunde gå en hel dag utan att jag frågade hjälp. Sedan hände det att han började förklara. Jag sa, nu räcker det. Nu vet jag, hur jag ska göra. Han sa att jag behövde liten knuff, sedan gick det. När något är riktigt nytt, då var saken en annan. Han tyckte att jag skulle först läsa räkna till Max boken. Den är bättre än många andra böcker. Den är skriven till distans elever. Vi har ingen lärar undervisning. Det finns mycket pedagogik i de. Sedan hade vi några andra lösningar som man kunde titta på om man inte begrep. Regel så lärde man av det materialet som vi hade. Sedan var det viktigt även öva från andra böcker. Jag gjorde insändnings uppgifter före, innan jag övade.
Jag har alltid haft dåliga likhets tecknen. Man kan ibland tro att det är minus tecken.
Då vet du om några saker som du behöver jobba med:
Använd kladdpapper för dina extraberäkningar, inte "det riktiga pappret"
skriv tydligare likhetstecken
kom ihåg parenteser
(inget av detta har med trigonometri att göra)
Jag ska berätta något annat roligt om matte. Jag skulle lösa ekvationssystem. Jag löste det. Inte blev det rätt. Jag tittade samma sak flera gånger och det var alltid fel. Jag började använda miniräknaren för att kontrollera att jag inte hade gjort fel. Det blev ändå fel. . Jag lät min sambo titta på det. Han kom till samma svar som jag. Han såg tillslut felet. Jag hade skrivit fel siffror dit, varför det blev fel.
Jag har fått skratta åt matten flera gånger. När jag hade 4 timmar på mig, då hade jag tid kolla mina fel.
När jag gick på högstadiet (eller möjligen gymnasiet) var det en ekvation som absolut inte ville bli rätt. Till slut upptäckte jag felet - på ena raden stod det , på nästa rad hade jag fått det till . Sedan dess är det tvärstreck på mina z när jag skriver för hand!
Man får ibland skratta åt matten. Andragrads ekvation har man först i gymnasiet och det hade jag i B matte. Det började där. Det finns sådant även i C matte. Det är mycket repetition från B kursen det här C matte och lite nya moment ovanpå. Jag tyckte att trigonometri var roligt i A matte. Sedan var det kul även i C matte. Jag tänkte, jag fortsätter läser den även i D matte som idag heter matte 4. Man minns vissa roliga saker i matten. Ska man skriva z, får man tänka på att det måste vara streck. Det är lätt att det blir fel. Jag slarvar mycket. Det vet jag om det. Jag kan skriva fel siffror också. Slå galet i miniräknaren. Att jag ser, vad det står i miniräknaren, kan jag ändå skriva fel siffror av misstag. Alla typer slarv kan det bli.
Jag har en miniräknare som jag inte ens behärskar.



Vill visa särskild till Yngve och Magdalena vad det står i räkna till Max B boken om andragrads ekvationen. Den boken har jag läst. Diskussionen har handlat om det i denna tråd. Jag har andragrads ekvation i min trigonometri uppgiften.
Ja, och det verkar som om du behärskar metoden att lösa andragradsekvationer.
Vi vet att du har läst MaB, så du borde kunna lösa andragradsekvationer.
Jag var tvungen plocka fram den. Jag har lärt efter den här boken.
Jag brukar lösa på det här viset. Att jag nu glömde potensen2 där.
Jag började titta lite grann. Jag har läst som sagt räkna till Max B bok. Kolla Magdalena, vad det står i den. Visade bilder om det.
Jag kan lösa andragradsekvationer. Det verkar bättre att DU läser igenom det ordentligt.
Tack Magdalena!
Jag lägger av med det här!
Titta en gång till, vad det står i boken. !!!
Läs vad Yngve har skrivit.
Vad säger du Yngve nu efter det här? Vad ska jag göra?
Yngve skrev :Ja, och det verkar som om du behärskar metoden att lösa andragradsekvationer.
Ska jag lägga av med matten helt ? Vill ha svar . Vad menar du Yngve med dina ord som du säger?
Om det är att du vill att vi skall läsa något särskilt kan du väl skriva vad, i stället för att ha en gissningstävling och försöka få oss att läsa 4 sidor mattebok.
Jag tog fram de sidorna just av den anledningen, vad det står i boken. . Det är ingen gissnings tävling. Läs vad jag tog fram. Jag har fotograferat de sidorna från min bok. Den boken har jag läst.
Päivi skrev :
Vill visa särskild till Yngve och Magdalena vad det står i räkna till Max B boken om andragrads ekvationen. Den boken har jag läst. Diskussionen har handlat om det i denna tråd. Jag har andragrads ekvation i min trigonometri uppgiften.
Päivi skrev :Päivi skrev :
Vill visa särskild till Yngve och Magdalena vad det står i räkna till Max B boken om andragrads ekvationen. Den boken har jag läst. Diskussionen har handlat om det i denna tråd. Jag har andragrads ekvation i min trigonometri uppgiften.
Jag förstår fortfarande inte vad det är i denna helt standardmässiga lärobokstext som du vill visa oss.
Tack i alla fall!
Päivi skrev :Yngve skrev :Ja, och det verkar som om du behärskar metoden att lösa andragradsekvationer.
Ska jag lägga av med matten helt ? Vill ha svar . Vad menar du Yngve med dina ord som du säger?
Jag menar att jag har sett dig använda pq-formeln korrekt, så jag tror inte att andragradsekvationer är något problem för dig.
Päivi skrev :Jag brukar lösa på det här viset. Att jag nu glömde potensen2 där.
Jag började titta lite grann. Jag har läst som sagt räkna till Max B bok. Kolla Magdalena, vad det står i den. Visade bilder om det.
Det var inte bara det att du glömde 2-potensen, det var dessutom att du kallade den obekanta för och skrev ett likhetstecken där det inte skulle vara ett sådant.
Jag upptäckte det. Det var ett miss där. Jag brukar regel inte göra så mycket fel med de här sakerna.
Räknar jag andragrads ekvationen snabbt, så glömmer jag ena efter andra. Huvudsaken är att det blir rätt svar.
Päivi skrev :Jag upptäckte det. Det var ett miss där. Jag brukar regel inte göra så mycket fel med de här sakerna.
Räknar jag andragrads ekvationen snabbt, så glömmer jag ena efter andra. Huvudsaken är att det blir rätt svar.
Det kan jag inte hålla med om. Svaret är ointressant, det är vägen dit som är det viktiga.
Yngve skrev :Päivi skrev :Yngve skrev :Ja, och det verkar som om du behärskar metoden att lösa andragradsekvationer.
Ska jag lägga av med matten helt ? Vill ha svar . Vad menar du Yngve med dina ord som du säger?
Jag menar att jag har sett dig använda pq-formeln korrekt, så jag tror inte att andragradsekvationer är något problem för dig.
Har man bråttom, då blir det så.
Päivi skrev :Räknar jag andragrads ekvationen snabbt, så glömmer jag ena efter andra. Huvudsaken är att det blir rätt svar.
Om du tycker så, varför lägger du då upp dina uträkningar här? Du ber ju själv om att vi ska kontrollera dem och du vill ju att vi ska påpeka dina misstag i dem. Menar du alltså att vi ska sluta göra det?
Nej, du Yngve gör mera rätt med mig. Hoppa på mig, det är inget jag gillar.
Du får fortsätta påpeka som vanligt Yngve!
När jag gör bara för mig själv räknar andragrads ekvation, räknar jag det snabbt. Fixar inga bråk eller liknande.
Päivi skrev :Nej, du Yngve gör mera rätt med mig. Hoppa på mig, det är inget jag gillar.
Du får fortsätta påpeka som vanligt Yngve!
När jag gör bara för mig själv räknar andragrads ekvation, räknar jag det snabbt. Fixar inga bråk eller liknande.
Jag tänker inte leta fel i sådant som du bara har slarvat igenom. Du måste kontrollera dina egna uträkningar innan du lägger upp dem här.
Har du läst vad jag har skrivit till Dig Yngve!
Päivi skrev :Har du läst vad jag har skrivit till Dig Yngve!
Ja.
Det var privat meddelande till Dig Yngve!

