Visning. Kommentar

Päivi skrev :
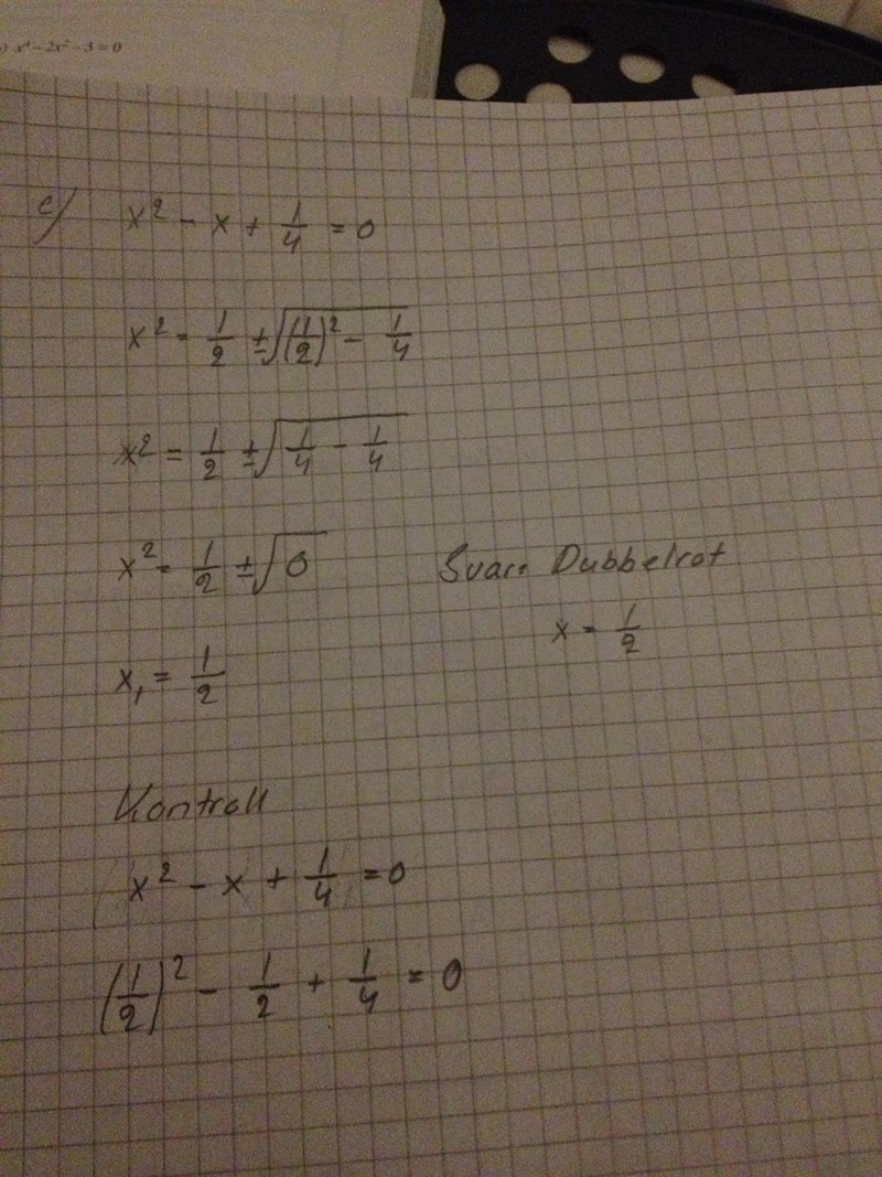
Ser rätt ut, behövde du hjälp med något ?
Visst är det dubbelrot?
Vad menas med reella lösningar?
Icke-komplexa lösningar. Numera ingår komplexa tal i Ma2, det ingick inte i MaB.
Det påminner andragrads ekvation fast det gick till minus sidan och då skulle bokstaven i användas.
Päivi skrev :Visst är det dubbelrot?
Ja det är dubbelrot.
Man brukar säga att
Päivi skrev :Det påminner andragrads ekvation fast det gick till minus sidan och då skulle bokstaven i användas.
Ja om diskriminanten (det som står under rottecknet) är negativ så har man icke-reella (komplexa) lösningar och då använder man den imaginära enheten i för att beskriva lösningarna.
Den imaginära enheten i har egenskapen att
Jag tyckte det. Så tokig kan inte jag vara.
Det där har jag också sysslat med förra året. Det ingick inte i matte B kursen. Komplexa tal fanns i högre kurser. Vissa saker har blivit nedflyttad till lägre kurser. Logaritmer har också blivit nerflyttade från c kursen till lägre kurser. Det har jag i c boken och då kommer även derivata med den. Derivata måste jag läsa först. Jag gör lite repetition, så det inte sitter löst i minnet. Jag känner det eftersom min sambo har gått bort.
Jag vet inte, vad man kan kalla det här. När man är chock tillstånd, då har man svårt att minnas. Det tar sin tid, innan tillståndet försvinner. Jag tycker att jag har blivit bättre på det än jag var någon tid tillbaka. Vad jag än läste från matte D hade jag svårt att komma ihåg, vad jag höll på med. Det har blivit bättre. Helt plötsligt kunde jag komma framåt med matte D. Det har börjat släppa.
När man är sådan tillstånd, då tappar man mat lusten. Man vet stort sett inte, vad man håller på med, när man inte minns. Det är hemskt. Jag har bott i flera år med honom. Det var en människa som jag var rädd om. Tyckte mycket om honom. Jag har känt själv av det här värst.
Jag hade svårt kunna avgöra av honom att det skulle kunna vara något fel med honom.
Han var klar i huvudet. Jag minns att jag blev fundersam när det gällde matte. Allt konstigt med honom har varit tecken på det här. Det kommer förvarningar. Han själv var riktigt bra på matte. Sist blev han arg, när han inte kunde förklara. Han började inte ens förklara. Då var det igen konstigt. I andra tillfällen märktes det inget på honom. Inte kunde jag koppla vad det var på gång med honom. Skulle jag ha förstått skulle jag ha tagit honom med tvång till sjukhuset.
Jag minns hans alla ord sista tiden. Han har gjort mig någon gång riktigt ledsen. Det här har också påverkat mig. Allt som han har berättat är korrekt. Det har kommit fram efteråt. Jag är glad att jag ändå har varit riktigt bra mot honom under tiden som vi har varit ihop. Man har konstig känsla över det här, hur mycket man minns. Jag minns, men inte exakt. Därför kan det vara bra kolla sådant som sitter lite löst.