Visning på insändnings uppgift som jag har gjort. Den är bedömd av en matte lärare.


Jag fick inte med allt.
Jag försökte sätta allt till en och samma, men misslyckades med det helt. Därför blev det så här tokigt. Det ska vara från 1 -8 frågor som är bedömda av en matte lärare som jag hade.
Man skulle svara på alla insändnings uppgifter och sedan var det prov.
Det här är nu matte c som idag heter matte 3 c.
Ville visa. Ni får kommentera om ni vill.
Hej Päivi, nu har jag tid en liten stund. Vi tar frågorna en i taget.
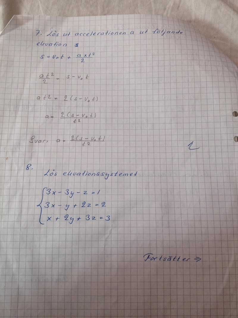
Uppgift 1.
Jag tycker att uträkningen är korrekt, klar och tydlig.
Det enda jag fortfarande inte riktigt förstår är vad som avses med och hur du använder din notering snett till vänster ovanför bråken (gulmarkerat).
På första raden de förekommer verkar det som om det endast är en minnesnotering:
"Första termen ska jag förlänga med 2, andra med 2, tredje med 2 och sista termen med 1"
Men på andra raden de förekommer ser det ut som om du faktiskt använder dem som faktorer i täljaren eftersom du stryker dem samtidigt som du stryker tvåorna i nämnaren.
Dessutom ser det jättekonstigt ut att den sista termen 3x/2 har en etta som notering på första raden (rödmarkerat) men att denna etta plötsligt blir en tvåa på andra raden (blåmarkerat).
Tror du att du kan förklara för mig vad dessa noteringar avser och hur de används?

EDIT - lade till uppgiftsnummer.
Uppgift 2:
Klart och tydligt, förutom en sak: Du använder x som symbol för multiplikation (gulmarkerad).
Den är väldigt lätt att förväxla med symbolen för den obekanta storheten x.
När jag först läste detta så trodde jag att det stod "5x(-3)" och inte "5 gånger (-3)"
Det är bättre att använda en prick för att symbolisera multiplikation.

Ja, det tror jag. Jag måste ta pappret fram själv. Vilken uppgift är det här?
Inlämningsuppgift 3:
Här har jag samma frågetecken som din lärare. Det ser ut som att du har förkortat de rödmarkerade ettorna med varandra och de blåmarkerade tvåorna med varandra. Så får man inte göra.

Vänta lite ! Jag ska försöka komma åt datorn, då ser jag bättre allt.
Päivi skrev :Ja, det tror jag. Jag måste ta pappret fram själv. Vilken uppgift är det här?
Ooops, jag glömde skriva dit numret på uppgiften. Jag har kompletterat med det nu.
Första du visar
De gul markerade är en typ av förlängning. Jag skulle få här till samma nämnare. Så har jag det uppfattar. På den tiden skrev jag x som multiplikation. Det är lätt förväxla med vanlig x och det där.
Jag måste nästan skriva själv från uppgiften på nytt och räkna den fram.
Jag var bra snurrig nu. Jag ska ta fram själva uppgiften. Jag ska räkna om den.
Uppgift 4:
Här har du missat en högerparentes (blåmarkerad) och inte dragit ut rottecknet över hela diskriminanten (rödmarkerat).
För att få MVG/A-poäng:
Då saknar jag en notering om att uttrycken är odefinierade för x = 1/3, vilket gör att du tar en risk när du förkortar med faktorn 3x-1. Tänk om x=1/3 skulle visa sig ingå i lösningsmängden?
När du sedan kommer fram till att x = -1 och att alltså x = 1/3 inte ingår i lösningsmängden så kan du konstatera att det var OK att förkorta bort faktorn 3x-1.
EDIT - har lagt till en bild

Jag ska ta kort på, hur jag har gjort den där uppgiften.
Det finns ingen parentes på uppgift 4 enligt insändnings uppgift och därför har inte jag heller lagt det.
Jag brukar förlänga på det viset, där du har gulmarkerat. Den här läraren känner till det här sättet. Det är äldre sätt att förlänga.
Uppgift 5:
Här verkar läraren ha gjort ett misstag och inte dragit ut rottecknet över hela uttrycket (rödmarkerat). Annars stämmer det inte att ekvationen har lösningen x = 3.

Sedan vad det gäller dina uträkningar så förstår jag inte vad du har gjort.
Rödmarkerat: Är x under rottecknet (som inte heller det når ända ut) ett x eller en multiplikationssymbol? Jag antar att det är ett x för annars stämmer inte likheten och då inte heller det blåmarkerade.
Grönmarkerat: Här har du inte faktoriserat korrekt, dessutom ser man inte om det står något mellan x och högerparentesen?

Ja, uppgift 3.
Där ser det lite lustigt ut. Det håller jag med. Så gör jag inte mer som där. Jag visade nytt kort till dig om det.
Jag hade bråttom göra de här uppgifterna och skicka de iväg. De här uppgifterna har jag gjort flera år tillbaka.
Den skolan finns inte mer.
Uppgift 6:
Klart och tydligt. Bra!
Uppgift 7:
Klart och tydligt. Bra!
Mina rot tecknen brukar vara lite korta.
Nej, det där uppgift 5 förstår jag inte, hur jag har gjort det.
Det är nästan som jag får räkna på nytt det där.
Uppgift 8:
Det är lite svårt att följa med i dina tankegångar.
Här vore det bra om du hade numrerat originalekvationerna och berättat vad du gör i alla steg.
Jag hittar ett slarvfel när du multiplicerar ekvation 2 med -3, du glömmer då att byta tecken på andra termen (blåmarkerad).

Men sedan räknar du som om det vore ett plustecken, så du tänkte rätt iallafall.
Du räknar allt rätt, men när du ska ersätta x med 2 så skriver du bara dit tvåan bredvid x-et mitt i ekvationen (röd- och blåmarkerat). Detta ser väldigt underligt ut och får en att tro att tvåan är en exponent eller en faktor.
Du gör samma sak när du ska ersätta z med -1 (grönmarkerat). Där ser det verkligen ut som att VL plötsligt får en extra term som subtraheras.

Uppgift 5 ska kvadreras bägge leden för att få bort rot tecknet på båda leden. Så gör jag idag. Hur jag har gjort där, det begriper inte jag mer. Det här är många år tillbaka, när jag gjorde det här.
Jag tar kort . Jag räknar inte ut det, men visar ändå hur jag går tillväga med detta.
Det är lätt att missuppfatta med mina multiplikationer och x. Det är nästan som inte ens jag förstår. Det där sättet har slutat med. Jag skriver prick idag.
Mina multiplikationer var alltid x. Det är lätt att förväxla med riktig x och multiplikation.
Uppgift 5, då måste båda leden kvadreras för att få bort rot tecknet. Har visat bild.
Har du tittat på, när jag har visat lite nytt om vissa uppgifter. Visserligen har inte räknat fram det, men visar hur jag går tillväga med detta. Nu menar jag uppgift 5.
Nu har jag tittat igenom dessa uppgifter, kommenterat dem och hastigt läst igenom dina svar som är av typen "det var så länge sedan", "så där gör jag inte längre", "jag förstår inte hur jag har gjort".
Då uppstår ett stort frågetecken i mig:
Varför var det så viktigt för dig att jag skulle titta igenom och kommentera dessa inlämningsuppgifter? Vad hoppades du uppnå med det?
Jag ville visa till dig om detta. De här uppgifterna är gjorda för många år tillbaka.
De andra insändnings uppgifterna har inte jag gjort. Jag tänkte ta göra prövning på matte 3 framöver, men jag måste läsa in mer.
Päivi skrev :Jag ville visa till dig om detta. De här uppgifterna är gjorda för många år tillbaka.
De andra insändnings uppgifterna har inte jag gjort. Jag tänkte ta göra prövning på matte 3 framöver, men jag måste läsa in mer.
Jo, jag förstår att du ville visa dem. Men varför ville du visa dem?
Och du ville inte endast visa dem, du skrev att jag även skulle kommentera dem, eller hur?
Förra året tog jag repeterade på nytt hela algebra eftersom jag hade glömt en hel del.
Ja, jag ville bara veta att du har sett. Det var som en markering på detta kan man säga.
Hade man gjort alla insändnings uppgifterna då var man tvungen göra prövning. Det är 4 insändnings uppgifter bara i matte c. De skulle läraren bedöma och notera i ett speciellt papper.
Den skolan finns inte kvar. Den här läraren finns inte mer i livet. Jag bodde på den tiden i Köping. Jag fick åka rätt långt för att göra prövning. Han ville att jag skulle flytta och det gjorde jag. Efter det har vi varit tillsammans i många år. Det har varit mycket med oss. Han var sista tiden hos mig och ville dö hemma hos mig, men jag godkände inte det. Jag skickade honom till sjukhuset. Jag tyckte mycket om honom.
Päivi skrev :Ja, jag ville bara veta att du har sett. Det var som en markering på detta kan man säga.
Jaha, då var det alltså helt onödigt att jag letade fel och kommenterade uppgifterna.
Du lärde dig inget nytt av det, inte jag heller.
Såg du 5 som jag visade, hur jag går tillväga idag. Det ska vara kvadreras både vänster och höger eftersom det finns rot tecknen där. Även om ena sidan har det och inte den andra , då måste man ändå göra det.
Jag har repeterat algebra förra året. Jag började titta på trigonometri lite före jul. Januari kunde jag inte syssla med matten. Då var det annat. Jag ville fortsätta med matten. Sedan dog läraren. Han var sjuk, men inte leder den till döden. Han fick helt annat helt plötsligt som orsakade detta. Jag hjälpte mycket honom men saknaden är stor.
Päivi skrev :Såg du 5 som jag visade, hur jag går tillväga idag. Det ska vara kvadreras både vänster och höger eftersom det finns rot tecknen där. Även om ena sidan har det och inte den andra , då måste man ändå göra det.
Ja, jag har sett det, men det var suddigt. Och du har gjort fel i de kvadreringarna.
Det finns ett enklare sätt, som din lärare visade.
Jag såg det. Trean skulle jag inte ha kvadrerat alls. Jag förstår inte, hur jag har gjort uppgiften 5.
Nu begriper jag.
Uppgift 5 är lite rörig.
Den här insändnings uppgiften gjorde jag på nytt förra året, men den hittar inte jag. Kan ha hamnat till soporna. Jag slängde mycket post iväg och särskild lärarens. Inte tänker jag spara hans post. Han samlade mycket post. Det kunde bli högar av dem.
Han kunde vara slarvig i annars, men i matten var han skärpt.
Jag frågade särskild. Kan jag titta på matte 4 trigonometri eller är det för svårt för mig än? Visst kunde jag göra det, men han ville inte att jag skulle stanna där länge. Han tittade lite i boken och ville se, vad som kommer där. Han sa till mig att det kommer svår kapitel snart. Han menade trigonometriska identiteter. De är lite besvärliga. Det är svårt hitta fel.




