Visst har facit fel här? Integraler
Hej, visst tappar facit en ”2” (vid det röda steget) när de hittar en primitiv funktion? För jag får inte samma svar som dem...

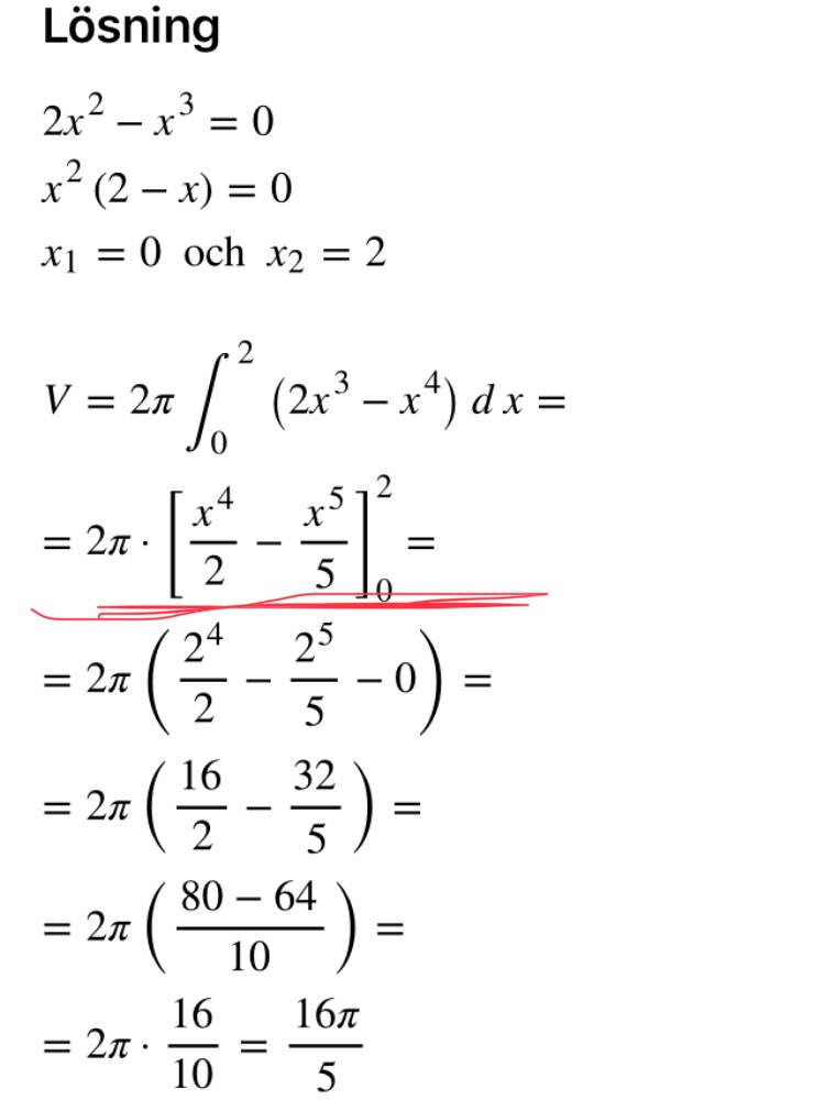
Ser rätt ut i facit:
detrr skrev:Hej, visst tappar facit en ”2” (vid det röda steget) när de hittar en primitiv funktion? För jag får inte samma svar som dem...
...
Om du visar din lösning så kan vi hjälpa dig att hitta ev. fel.
Jag hittar/ser inte felet.

Den primitiva funktionen till är inte utan vaddå?
detrr skrev:Jag hittar/ser inte felet.
Felet är första termen i din primitiva funktion: .
Pröva att derivera den så ser du att resultatet inte blir .
Du bör ta som vana att alltid kontrollera dina primitiva funktioner genom att derivera dem.
Ja, nu får jag till det. Primitiva funktionen är x^4 / 2.
Tack för hjälpen! :)